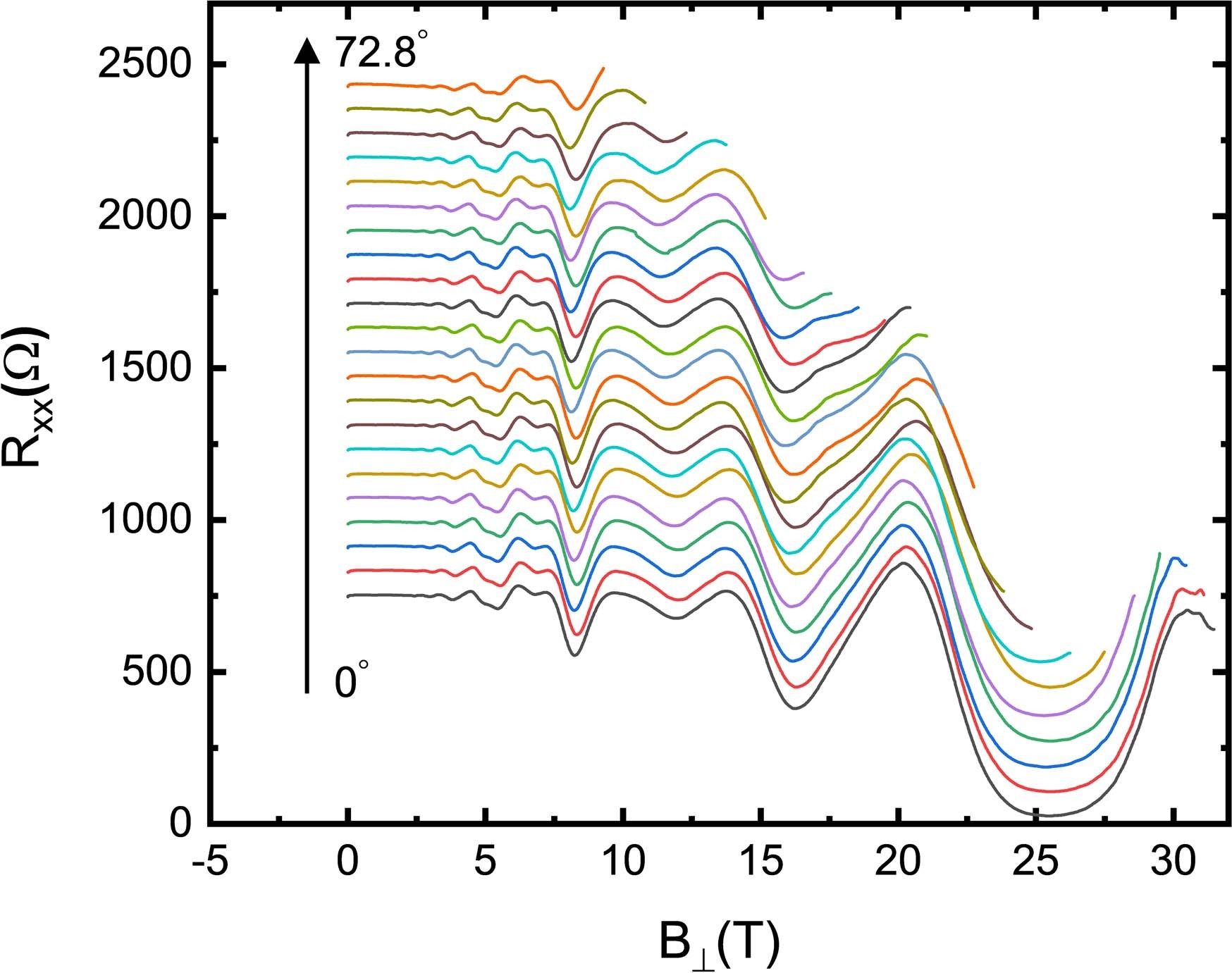
Extended Data Fig. 2: SdH oscillations in a tilted magnetic field.
From: Quantum Hall effect of Weyl fermions in n-type semiconducting tellurene

The curves are separated by 80 Ω offset for clarity. No evidence of coincidence effect is observed, suggesting a small effective g-factor.