Extended Data Fig. 4: FETs’ reliability tests under various conditions.
From: Three-dimensional transistor arrays for intra- and inter-cellular recording

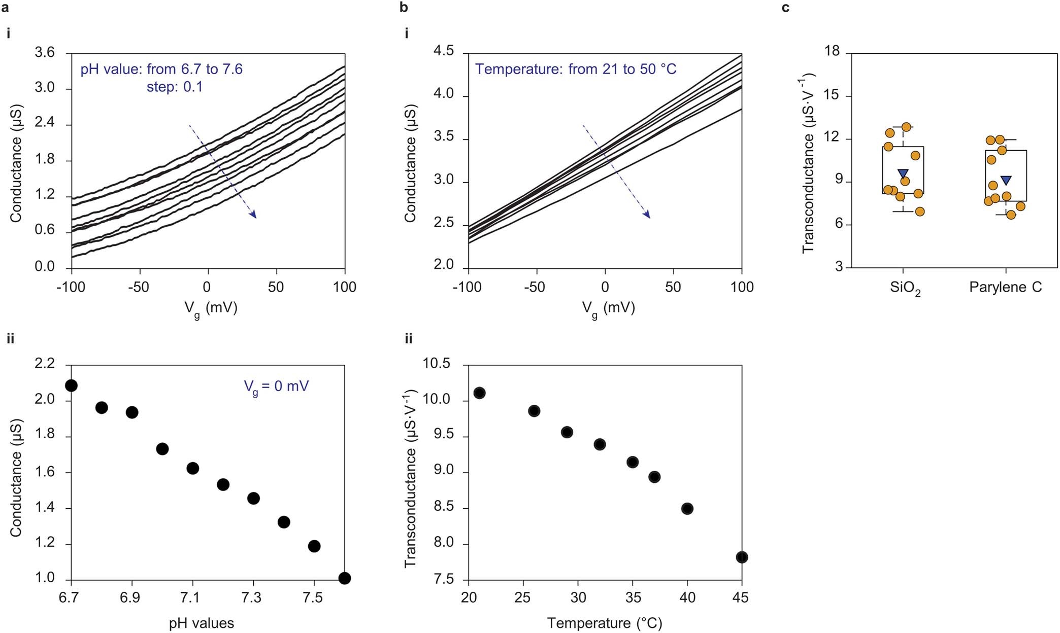
a, i, An FET’s conductance with different pH of the gate solution. The transfer characteristics show high similarities, proving high reliability of the FET under various pH. The common pH for cell culturing is 7.4. ii, Extracted data points at zero gate bias, showing the conductance decreases with increasing the pH, giving another evidence of the n-type conductivity of the FET. b, i, An FET’s transfer characteristics under different temperatures of the gate solution, showing the FET has excellent thermal stability and reliability under various temperatures. The common temperature for cell culturing is 37 °C. ii, Calculated transconductances showing the FET’s transconductance decreases with increasing the temperature, which is due to the effectively reduced mobility of the charge carriers in the conduction channel. c, Parylene C was used as an additional gate dielectric material on top of the SiO2 in the FET, considering SiO2 might be soluble in biological fluids, such as extracellular solutions of cardiac muscle cells. The FETs’ transconductance (that is, sensitivity) barely changed after coating the Parylene C.