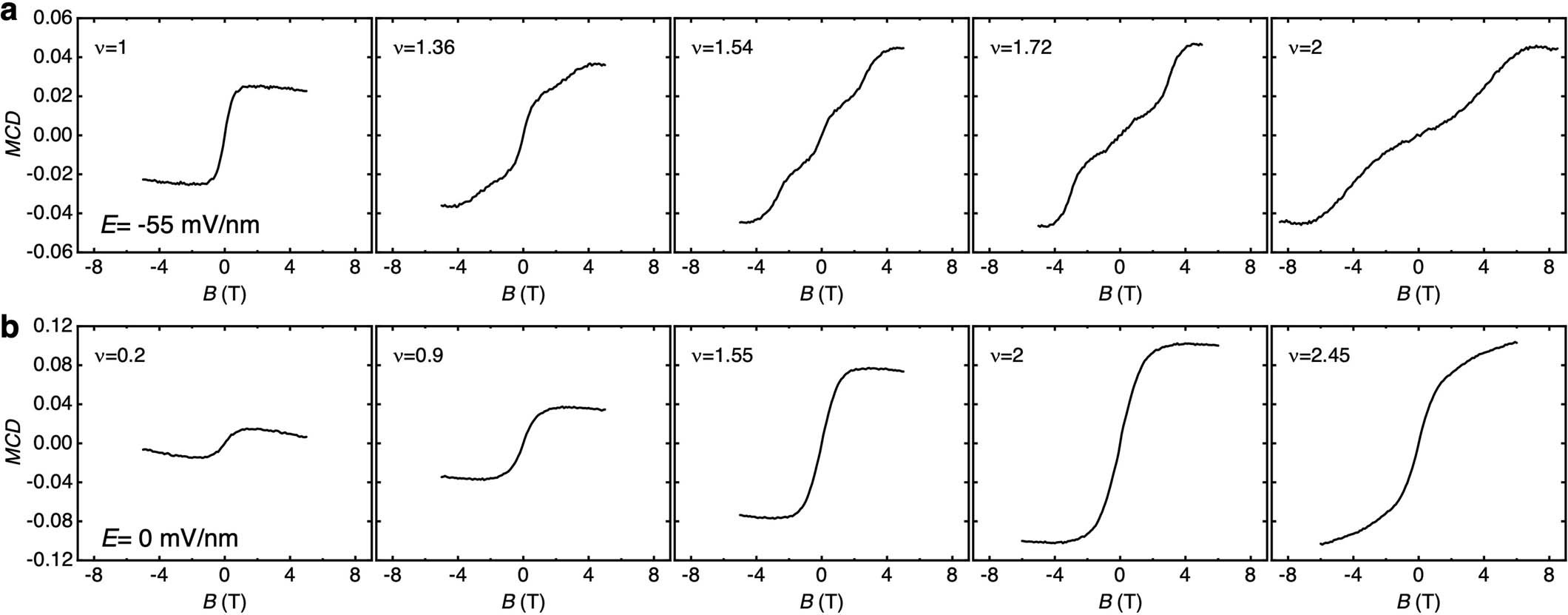
Extended Data Fig. 6: MCD at different doping densities.

Magnetic-field dependence of MCD for layer-polarized (E = -55 mV/nm) (a) and layer-unpolarized holes (E = 0 mV/nm) (b) at representative filling factors. The MCD is obtained by averaging the MCD spectrum over a spectral window of 5 meV centred at the exciton resonance (≈ 1.69 eV).