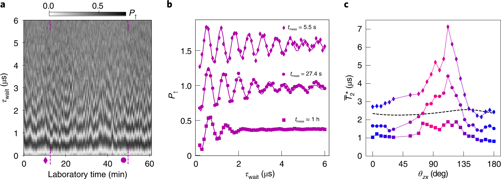
Fig. 4: Free induction decay.
From: A single hole spin with enhanced coherence in natural silicon

a, Collection of 600 Ramsey oscillations as a function of τwait, the free evolution time between two πx/2 pulses, at θzx = 118∘. The applied microwave frequency is detuned by ~700 kHz from the Larmor frequency. Each Ramsey oscillation is measured in ∼5.5 s. The locations of the representative traces shown in b are indicated by a diamond and a dot. b, Selected averages of Ramsey oscillations taken over different measurement times: tmeas = 5.5 s corresponding to a single trace (diamonds); tmeas = 27.5 s, corresponding to five consecutive traces (circles); tmeas ≈ 1 h, corresponding to the full set of 600 traces (squares). The solid lines are fits to Gaussian decaying oscillations. Note that the decay time \({T}_{2}^{* }\) depends on the chosen subset of consecutive traces (except for tmeas ≈ 1 h), which is a signature of non-ergodicity36 at small tmeas (Supplementary Information, section 4). Hence we observe a distribution of \({T}_{2}^{* }\) values with mean \({\overline{T}}_{2}^{* }\). c, Mean \({\overline{T}}_{2}^{* }\) for different tmeas (same symbols as in b) as a function of the magnetic field angle θzx. The solid lines are guides to the eye. The dashed black line is the calculated dephasing time due to hyperfine interactions (Supplementary Information, section 5).