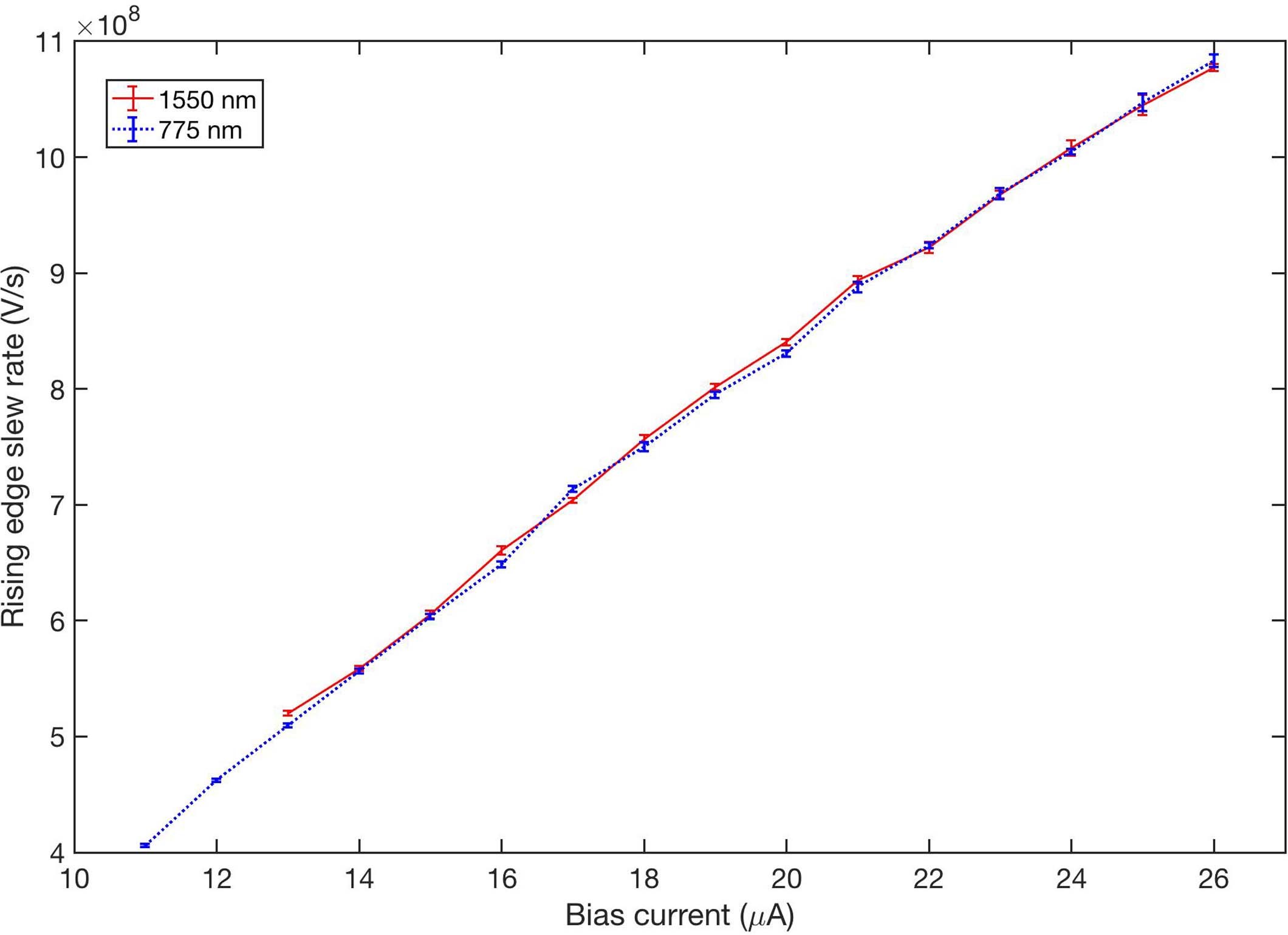
Extended Data Fig. 4: Slew rate independence on illumination wavelength.
From: Demonstration of sub-3 ps temporal resolution with a superconducting nanowire single-photon detector

SNSPD signal rising edge slope as a function of bias current for the 100 nm nanowire. Data for the 775 nm and 1550 nm illuminations show that the pulse signal pulse shape is independent of photon energy. The slope changes with bias current because the signal amplitude increases with the bias current flowing in the SNSPD.