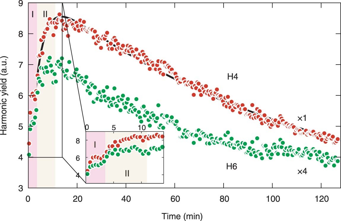
Extended Data Fig. 4: Time evolution of high-harmonic intensity for BSTS angle φ = 0°.
From: High-harmonic generation from topological surface states

Intensity of the H4 and H6 harmonics as a function of cleavage time at pump intensity 9 GW/cm2. The stage II and III also exist, similar as that illustrated in Fig. 3b. Especially, the slowly varying stage I is clearly shown in the local enlarged image. The black solid line represents the exponential fit of the measured data, which gives a phenomenological time constant of tc = 3 min for stage II, and tc = 56 min for stage III.