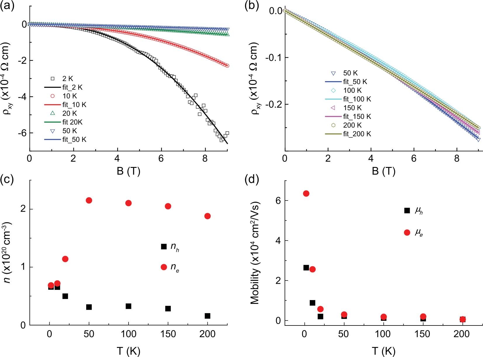
Extended Data Fig. 3: Hall resistivity fitted to the two-band model.

a, b, Hall resistivity vs. magnetic field measured at different temperatures. The data is fitted according to the two band model \({\rho }_{xy}=\frac{B}{e}\frac{({n}_{h}{\mu }_{h}^{2}-{n}_{e}{\mu }_{e}^{2})+({n}_{h}-{n}_{e}){\mu }_{h}^{2}{\mu }_{e}^{2}{B}^{2}}{{({n}_{h}{\mu }_{h}+{n}_{e}{\mu }_{e})}^{2}+{({n}_{h}-{n}_{e})}^{2}{\mu }_{h}^{2}{\mu }_{e}^{2}{B}^{2}}\)43,44. c, Carrier density of electrons and holes vs. temperature, extracted from the fits in (a) and (b). d, Mobility of electrons and holes vs. temperature, extracted from the fits in (a) and (b).