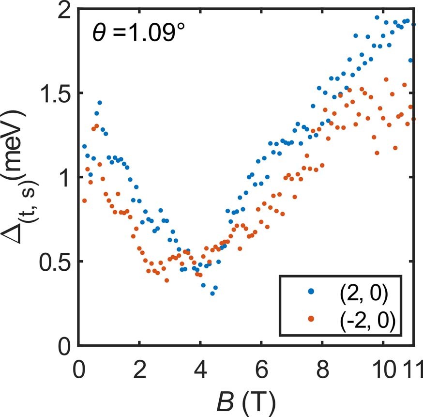
Extended Data Fig. 9: zLL gap evolution at a second location.
From: Correlated Hofstadter spectrum and flavour phase diagram in magic-angle twisted bilayer graphene

Thermodynamic gaps of νC = ±2 zLLs extracted from the data presented in Extended Data Fig. 4.