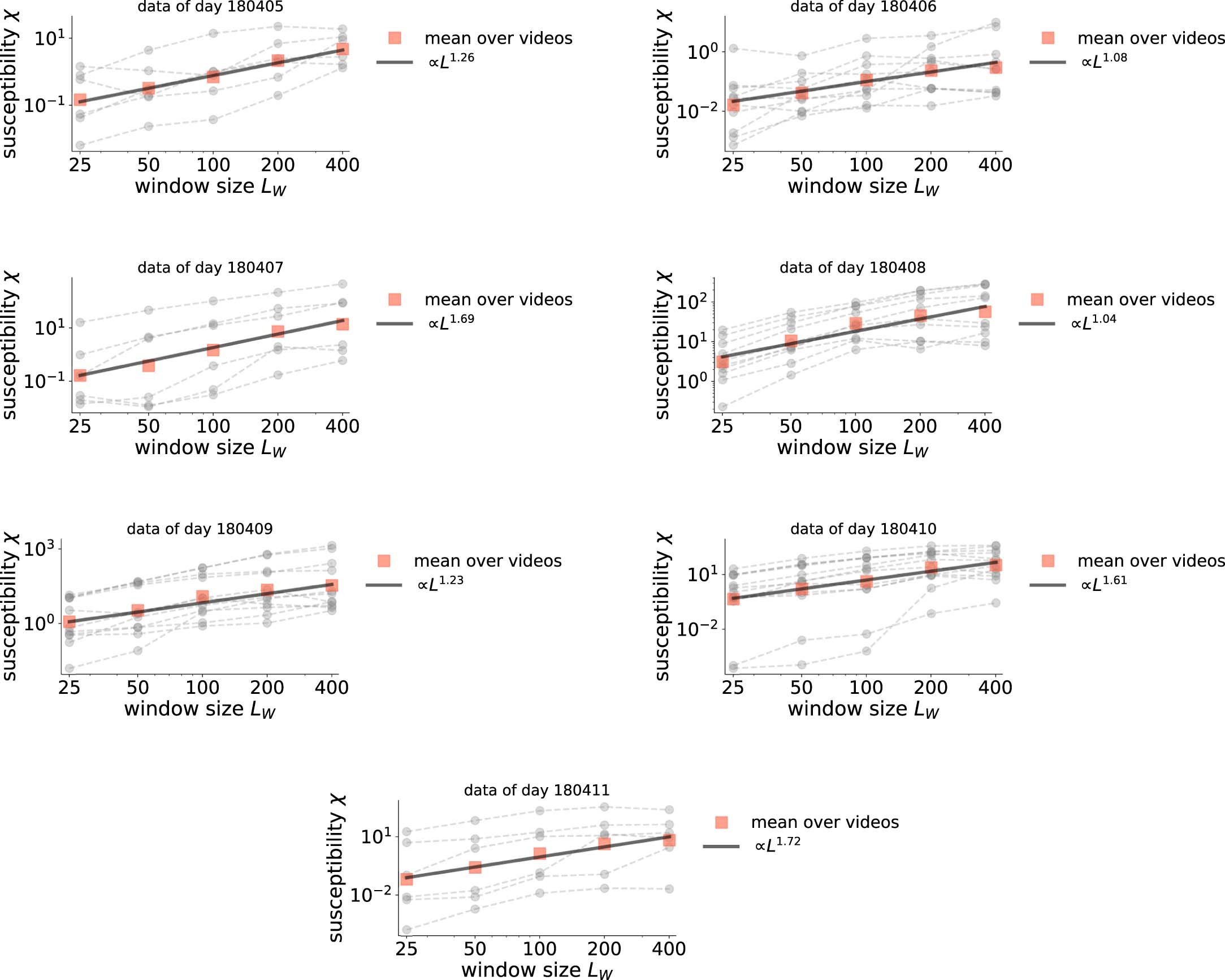
Extended Data Fig. 7: Susceptibility in empirical data.
From: Fish shoals resemble a stochastic excitable system driven by environmental perturbations

Susceptibility computed as defined in equation (17) using the empirical videos and five different window sizes LWϵ [25, 50, 100, 200, 400] pixels. The results of the analysis for the different window sizes of each of the videos are connected by a gray dashed line. The average susceptibility over videos is plotted as a single red square for each window size LW. The best power-law fit to the average values is shown as a black line and the label shows the exponent that fits best the data. The data is shown separately for all acquisition days. In all cases, the best power-law fit has an exponent that is between 1 and 2.