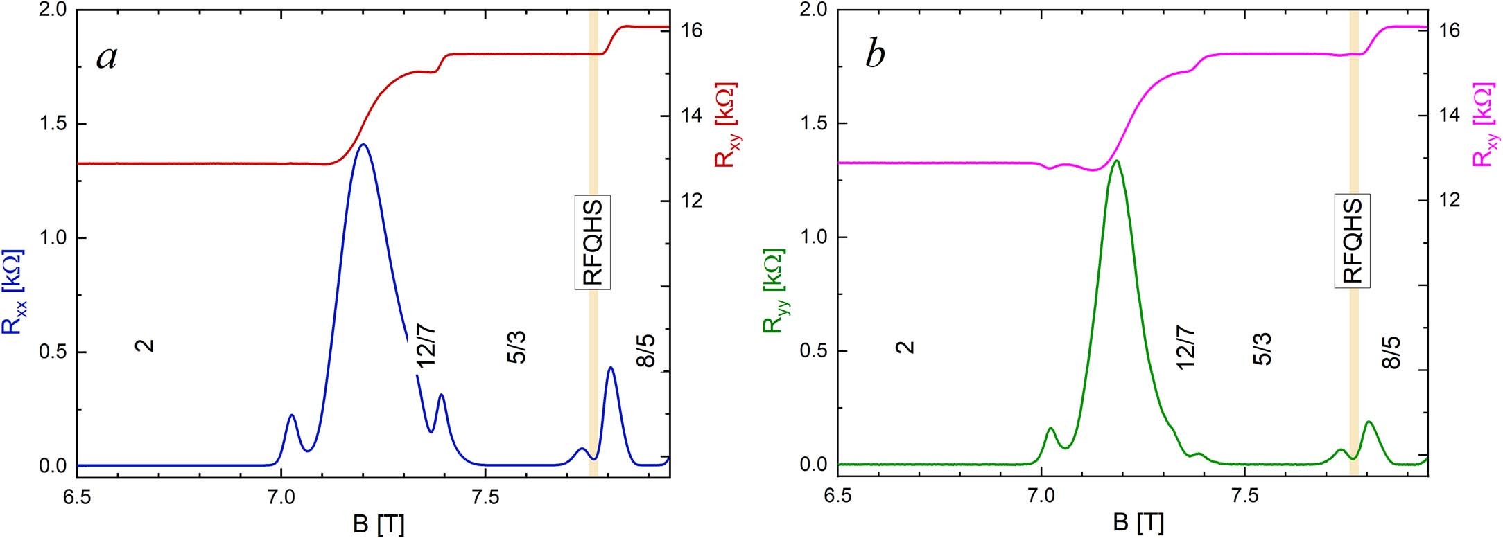
Extended Data Fig. 2: The longitudinal magnetoresistance Rxx and Ryy as measured along two mutually perpendicular crystal directions and the Hall resistance.
From: A highly correlated topological bubble phase of composite fermions

Data were collected from Sample 1 at T = 12 mK. While there are small but noticeable differences in the two longitudinal magnetoresistance traces, at the formation of the RFQHS the longitudinal magnetoresistance is nearly vanishing for both crystal directions and it is nearly isotropic. Panels a and b show data collected along two mutually perpendicular crystal axes of the GaAs crystal.