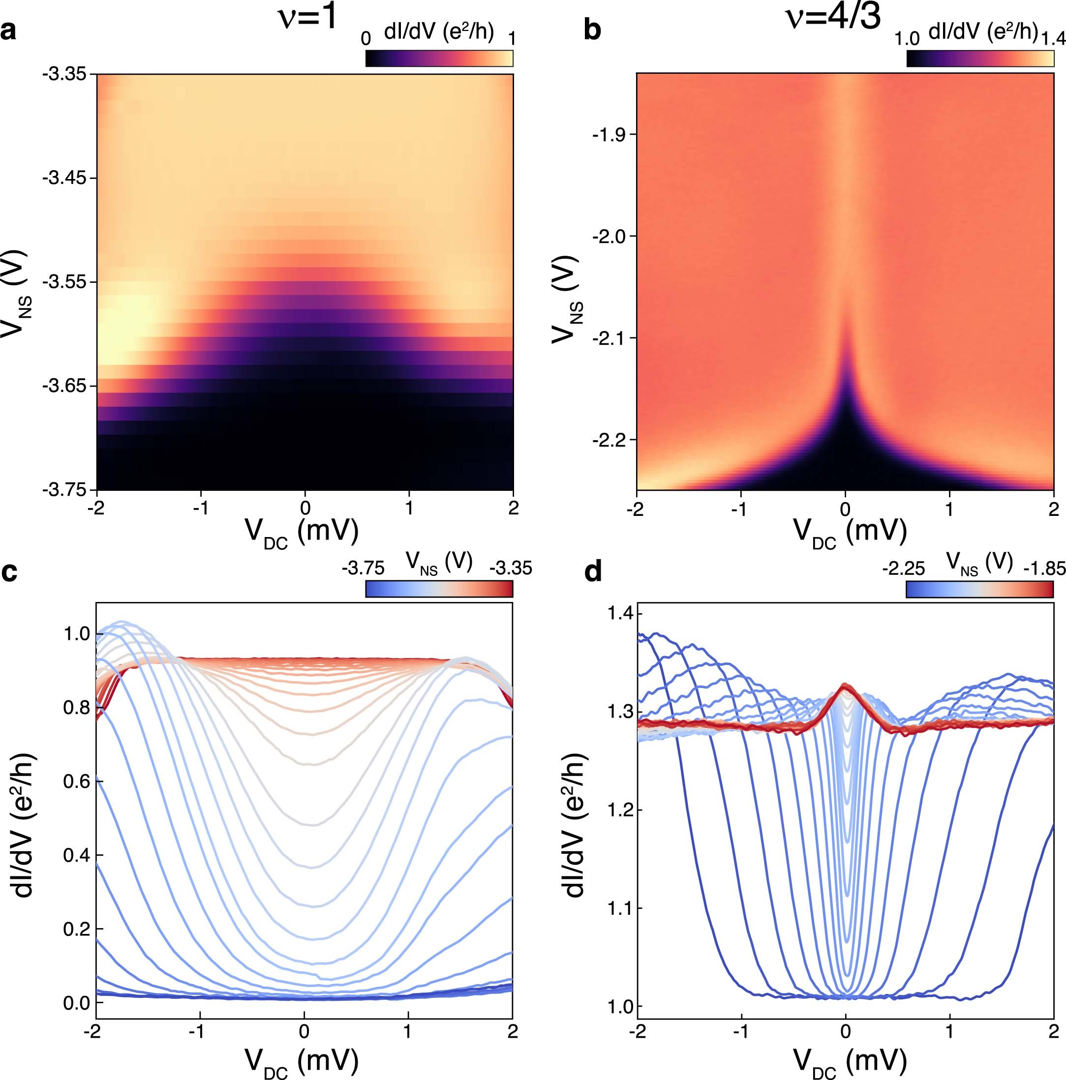
Extended Data Fig. 3: Tunneling conductance in an integer vs. fractional edge.

(a) Plot of the tunneling conductance across an integer conductance step, in the ν = 1 state. In the fully reflecting and fully transmitting limits, the conductance is constant for VDC less than about – 1 mV –, and smoothly varies as the edge is transmitted. (b) For a fractional edge state, the conductance remains highly suppressed even when the edge state is partially transmitted, with a sharply nonlinear dI/dV near VDC = 0. Even when the edge state is fully transmitted, and dI/dV (VDC = 0) = 4/3, the tunneling conductance remains nonlinear. (c) and (d) present linecuts of the data in (a) and (b) respectively for comparison.