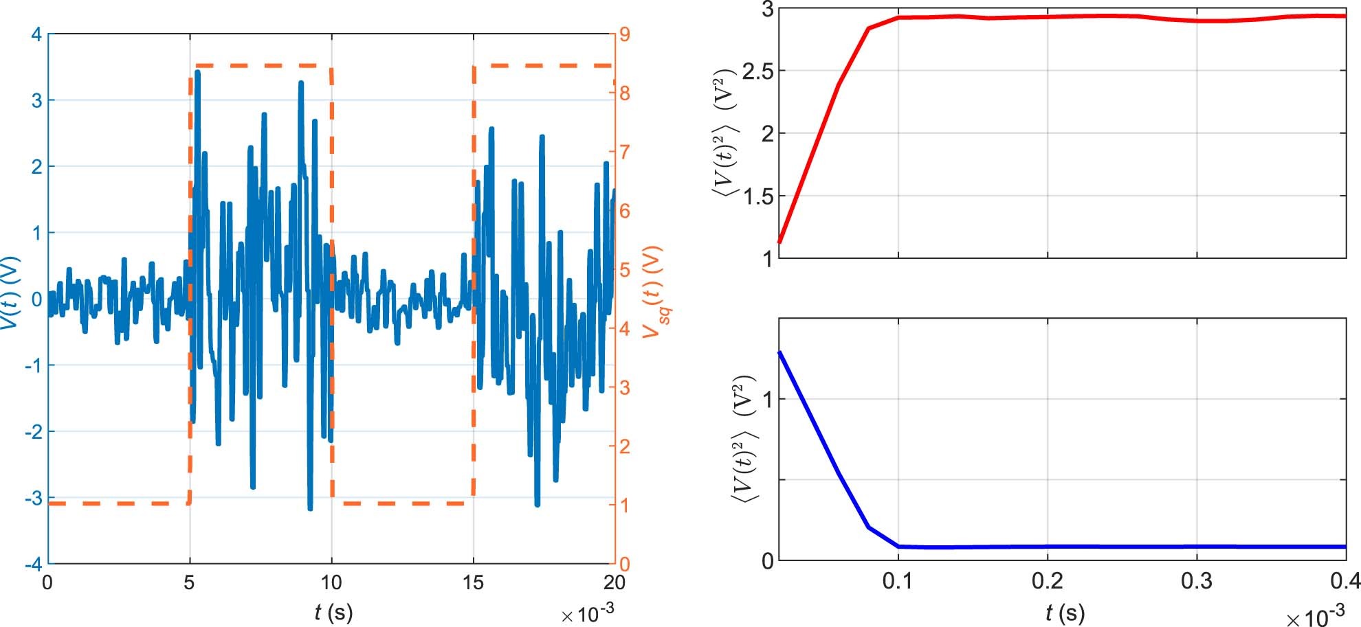
Extended Data Fig. 1: White, Gaussian noise modulated by a square signal.
From: Heating and cooling are fundamentally asymmetric and evolve along distinct pathways

Left panel: modulated voltage output signal V(t) (solid line, left axis) and square signal Vsq(t) (dashed line, right axis) as a function of time. Right panel: evolution of the modulated signal variance < V(t)2 > as a function of time for heating (upper panel) and cooling (lower panel).