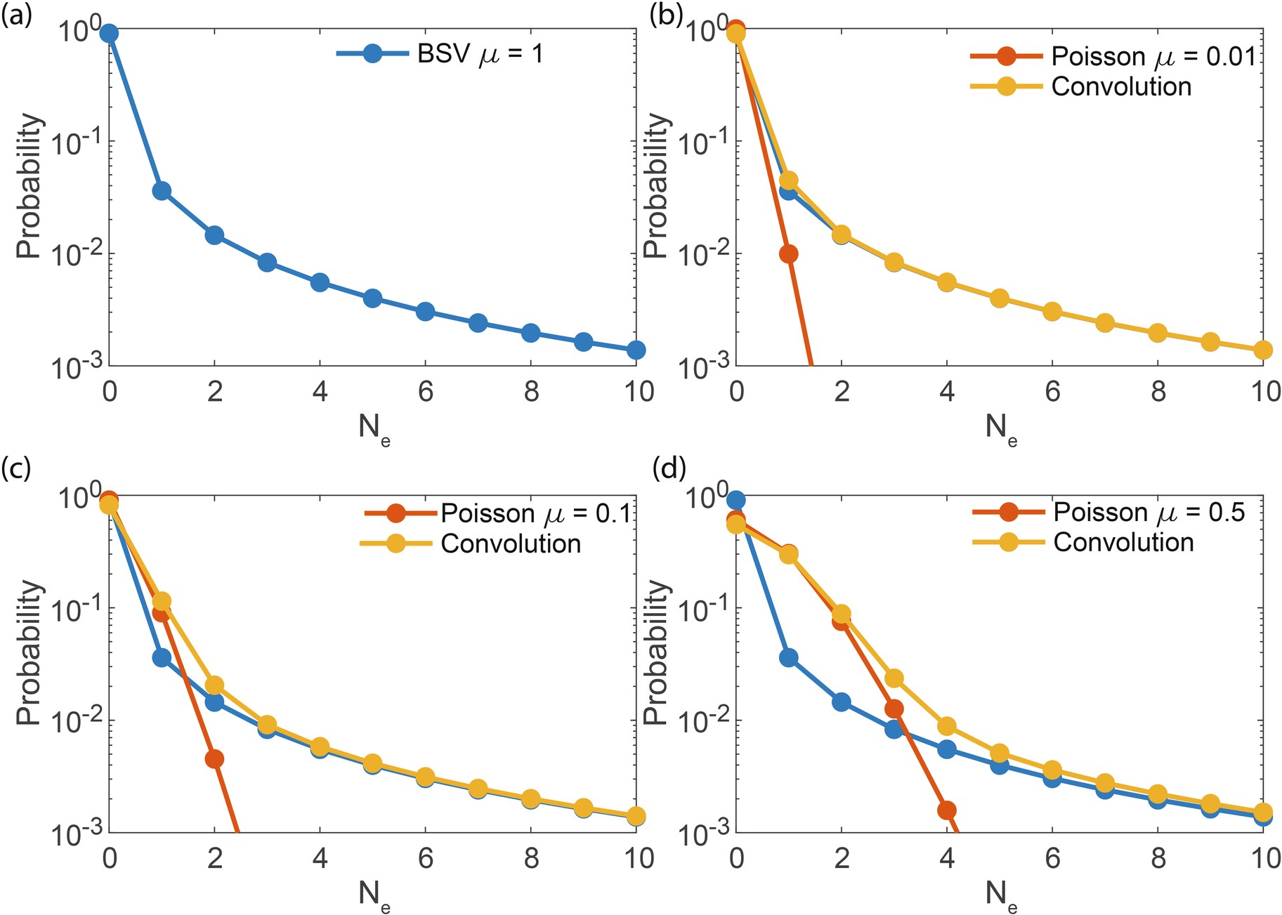
Extended Data Fig. 1: The influence of an additional electron emission process on electron-number statistics.
From: Multiphoton electron emission with non-classical light

(a) Electron-number distribution for single-mode fourth-order Gamma distribution (blue) for an average of μ = 1 electrons per laser pulse, calculated from Eq. (2) (see main text). Lines are guide to the eye. (b)-(d) Blue are the distributions from (a). Orange are Poisson distributions corresponding to mean numbers of electrons (b) μ = 0.01, (c) μ = 0.1 and (d) μ = 0.5. The yellow curves are the corresponding convolutions of the Gamma distribution and the Poisson distribution. For increasing Poissonian admixture we observe a clear deviation from the original distribution in (a).