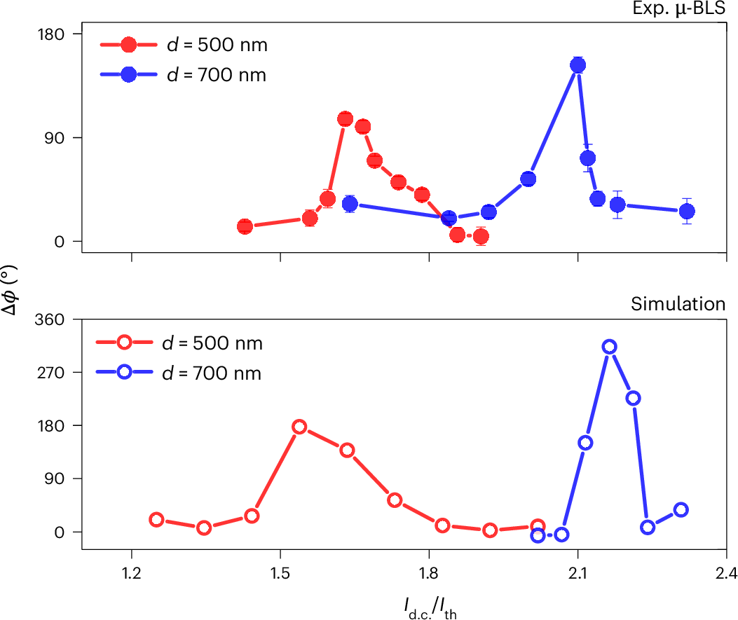
Fig. 5: Evolution of the relative phase.
From: Spin-wave-mediated mutual synchronization and phase tuning in spin Hall nano-oscillators

The variable phase difference Δϕ between two mutually synchronized SHNOs (at d = 500 or 700 nm) as a function of criticality (Id.c./Ith) obtained from phase-resolved μ-BLS experiments (top) and micromagnetic simulations (bottom). Exp., experimental.