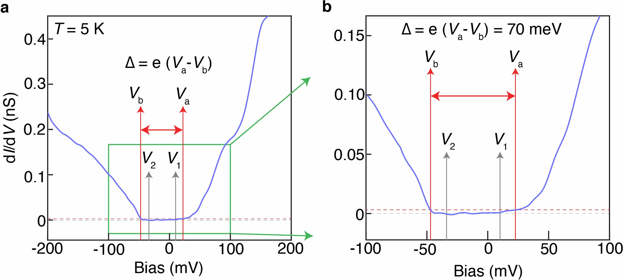
Extended Data Fig. 4: Determination of the energy gap from tunneling spectroscopy.
From: Topological excitonic insulator with tunable momentum order

a, Averaged dI/dV spectrum acquired by tunneling into the bc plane of clean Ta2Pd3Te5 at T = 5 K. The voltage interval \([{V}_{1},{V}_{2}]\) is used to calculate the noise floor, σ. The dashed red line represents \(\varGamma =2.36\sigma\), which corresponds to the instrumental resolution of the dI/dV signal. \({V}_{a}\) and \({V}_{b}\) are the solutions of the equation \({\rm{d}}I/{\rm{d}}V=\varGamma\). The spectroscopic energy gap is calculated as \(\varDelta =e{V}_{a}\mbox{--}e{V}_{b}\), resulting in Δ ≃ 70 meV. b, Magnified view of panel a, focusing on the gapped region in the averaged dI/dV spectrum.