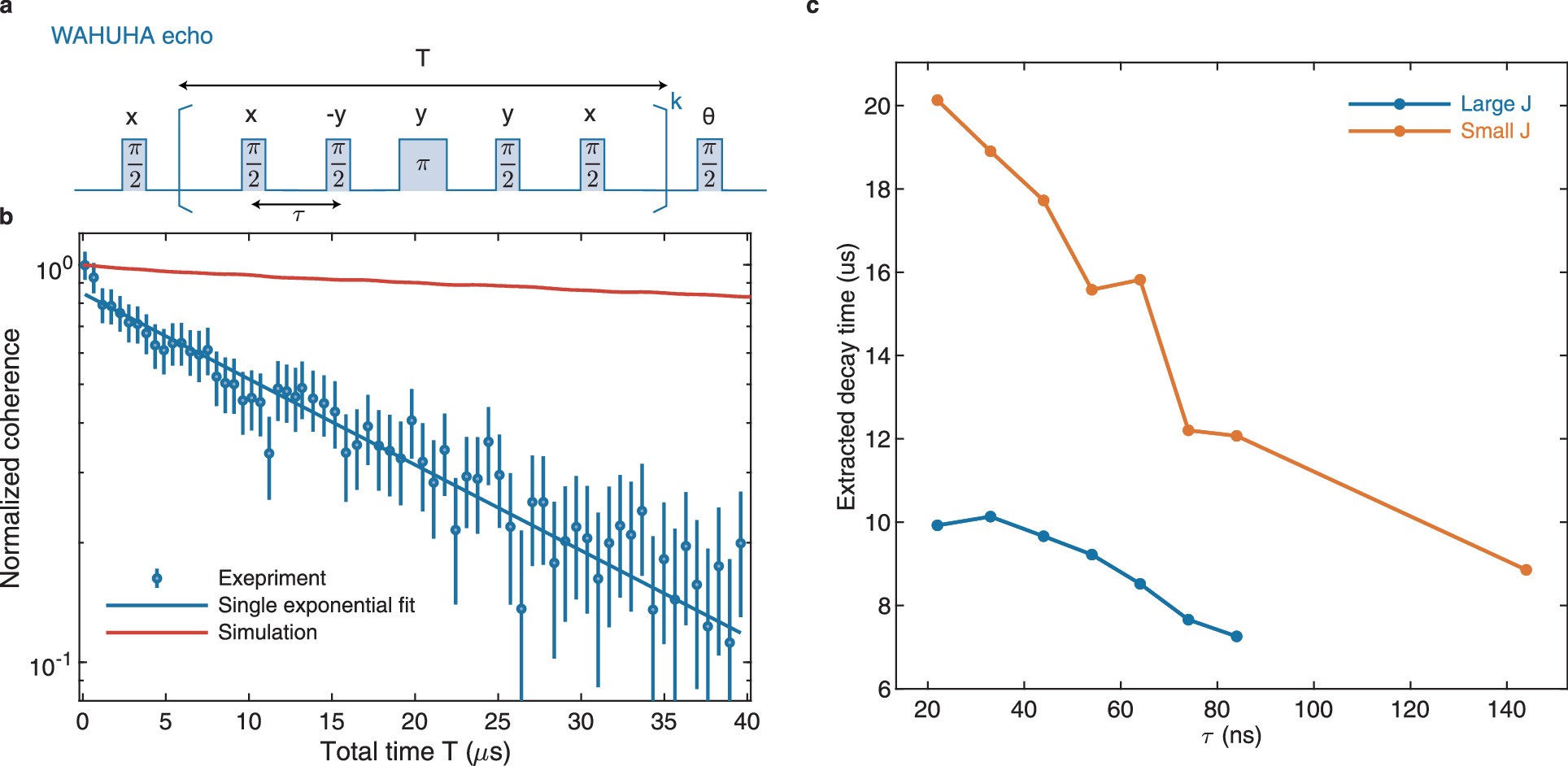
Extended Data Fig. 8: WAHUHA-echo sequence measurement.
From: Quantum thermalization and Floquet engineering in a spin ensemble with a clock transition

a, WAHUHA-echo sequence. The base pulse sequence consists of π/2 and π pulses with a periodicity of 6τ, where τ denotes the time separation between the centers of two adjacent π/2 pulses. We maintain a spacing of τ − tp between each pulse, where tp is the duration of the π/2 pulse. Note that the duration of a π pulse is 2tp. The base sequence is repeated k times to evolve over a total interrogation time T. The final π/2 analyzer pulse with a variable phase angle θ is employed for coherence extraction. b, Comparison of the WAHUHA-echo coherence dynamics between numerical simulation (red) and experiment (blue). The experiment is carried out under the small J condition, with error bars representing the standard deviation of the data (see Methods for details). The simulation is conducted using the experimentally calibrated interaction and disorder strengths. The blue line is a single exponential fit to extract the 1/e decay time. c, The 1/e decay times of the WAHUHA-echo coherence measurements are shown as a function of the pulse separation τ for both the large J (blue) and small J (orange) cases.