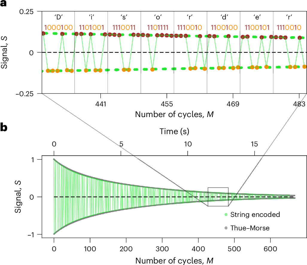
Fig. 6: ‘Experimental observation of a time rondeau crystal. Temporal Disorder in Spatiotemporal Order’ encoded inside the micromotion of a time rondeau crystal using the ASCII encoding scheme.

a, Micromotion that encodes the word ‘Disorder’ in the ASCII encoding scheme is comprehensively shown: ‘D’ corresponds to 1000100, ‘i’ corresponds to 1101001 and so on. The light-green lines are x-projection signals of 13C nuclear spin polarization measured at half-integer periods (see the main text). The brown (orange) dots indicate that the micromotion is positive (negative) and that the bit encoded is 1 (0). We can artificially engineer the order of ⊕/⊖ pulses to encode arbitrary information into the micromotion, as the heating is well suppressed even for a structureless random drive. b, Full dataset of the x-projection signal of the string encoding sequence (green). The lifetime of the engineered micromotion is comparable to the lifetime of the aperiodic Thue–Morse sequence (grey), demonstrating full controllability of micromotion without reducing the lifetime of the signal. We used γy = 0.98π (ε = 0.02π), with all the other parameters as those in Fig. 1c–e.