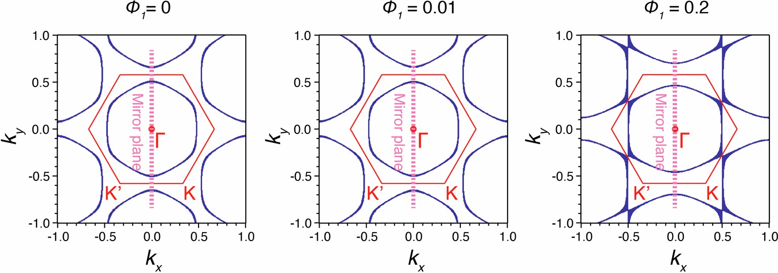
Extended Data Fig. 6: Fermi surface of the nearest-neighbor kagome model of Methods Section F in the absence of a magnetic field.
From: Magnetic field-induced momentum-dependent symmetry breaking in a kagome superconductor

The parameters are set as t = 1 and μ = -0.08. Bz = 0 to focus on the effect of Φ1, which is varied as indicated in each panel (Φ1 = 0, 0.01, and 0.2). As expected, the Fermi surface distortion is negligible for small Φ1.