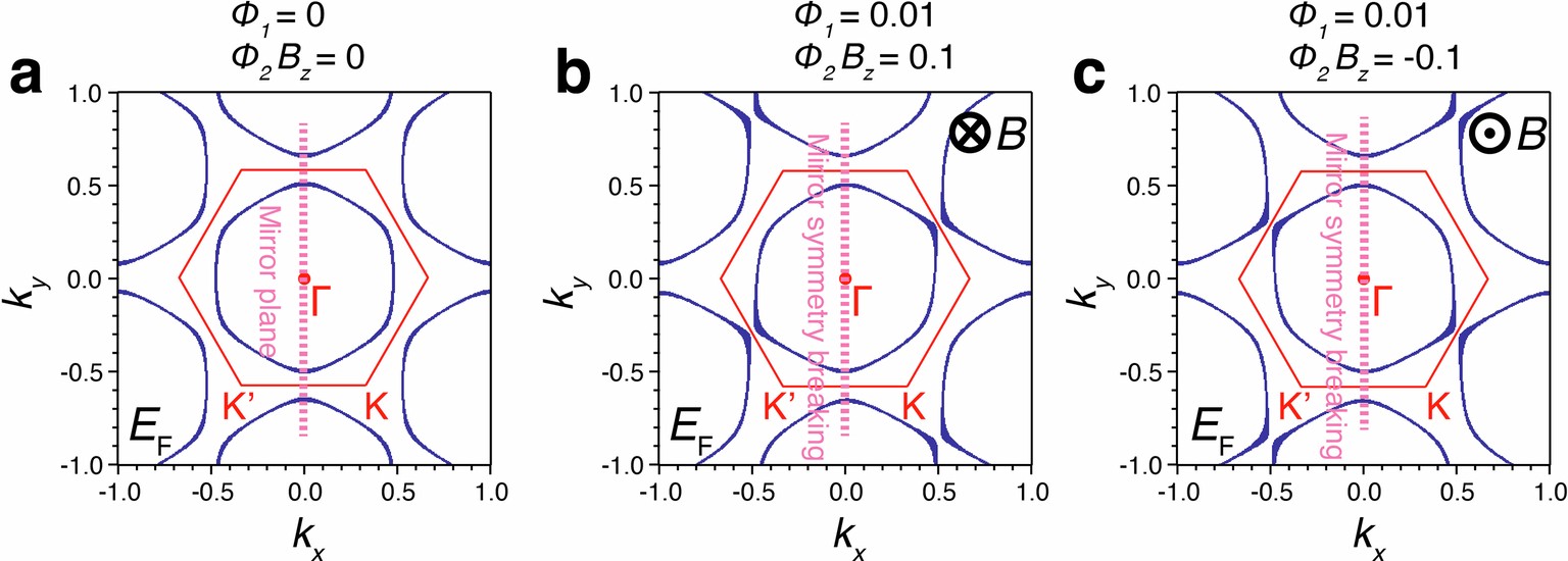
Extended Data Fig. 7: Fermi surface of the nearest-neighbor kagome model of Methods Section F in the presence of a magnetic field.
From: Magnetic field-induced momentum-dependent symmetry breaking in a kagome superconductor

(a) Fermi surface for t = 1, μ = -0.08, Φ1 = 0 and Bz = 0. The horizontal mirror plane is preserved. (b) Fermi surface with t = 1 and μ = -0.08, but now with Φ1 = 0.01 and a positive field Φ2Bz = 0.1. (c) Same as (b) but with a negative field Φ2Bz = -0.1. In both (b) and (c), the horizontal mirror symmetry and the C6 symmetries are broken, consistent with the symmetry-breaking behavior observed in the ARPES data from the perspective of the spectral weight distribution.