Abstract
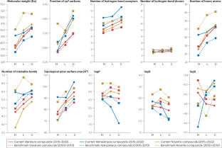
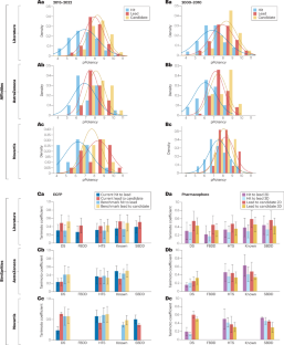
The goal of a small-molecule drug discovery campaign is the development of chemical entities that fulfil the criteria of the target product profile for progression into clinical trials. This objective is realized through multiparameter medicinal chemistry optimization, typically by identifying the compounds at the hit stage with molecular properties that provide a high chance of subsequent success, and then iteratively optimizing the properties, often in parallel, to identify leads and, ultimately, drug candidates. To assess the impact of medicinal chemistry optimizations on molecular properties, a set of new drug candidates reported in the literature between 2015 and 2022, and their corresponding hit and lead compounds, were analysed, and compared with a set of drug candidates identified between 2000 and 2010, and their corresponding hits and leads. This analysis was complemented by similar analyses of the internal medicinal chemistry programmes pursued at AstraZeneca and Novartis. Here, we highlight and discuss the implications of the observed trends, which include shifts in key physicochemical properties and strategic changes in medicinal chemistry programmes.
This is a preview of subscription content, access via your institution
Access options
Access Nature and 54 other Nature Portfolio journals
Get Nature+, our best-value online-access subscription
$32.99 / 30 days
cancel any time
Subscribe to this journal
Receive 12 print issues and online access
$259.00 per year
only $21.58 per issue
Buy this article
- Purchase on SpringerLink
- Instant access to the full article PDF.
USD 39.95
Prices may be subject to local taxes which are calculated during checkout





Similar content being viewed by others
References
Hirschler, B. Data shows declining productivity in drug R&D. Reuters https://www.reuters.com/article/us-pharmaceuticals-rd-idUSTRE65Q3IM20100627 (2010).
Scannell, J. W., Blanckley, A., Boldon, H. & Warrington, B. Diagnosing the decline in pharmaceutical R&D efficiency. Nat. Rev. Drug Discov. 11, 191–200 (2012).
Schulze, U., Baedeker, M., Chen, Y. T. & Greber, D. R&D productivity: on the comeback trail. Nat. Rev. Drug Discov. 13, 331–332 (2014).
Pammolli, F., Magazzini, L. & Riccaboni, M. The productivity crisis in pharmaceutical R&D. Nat. Rev. Drug Discov. 10, 428–438 (2011).
Paul, S. M. et al. How to improve R&D productivity: the pharmaceutical industry’s grand challenge. Nat. Rev. Drug Discov. 9, 203–214 (2010).
Schuhmacher, A., Gassmann, O. & Hinder, M. Changing R&D models in research-based pharmaceutical companies. J. Transl. Med. 14, 105 (2016).
Patel, M. & Bueters, T. Can quantitative pharmacology improve productivity in pharmaceutical research and development? Expert Opin. Drug Discov. 15, 1111–1114 (2020).
Pammolli, F. et al. The endless frontier? The recent increase of R&D productivity in pharmaceuticals. J. Transl. Med. 18, 162 (2020).
Jayatunga, M. K. P., Xie, W., Ruder, L., Schulze, U. & Meier, C. AI in small-molecule drug discovery: a coming wave? Nat. Rev. Drug Discov. 21, 175–176 (2022).
Leeson, P. D. et al. Target-based evaluation of ‘drug-like’ properties and ligand efficiencies. J. Med. Chem. 64, 7210–7230 (2021).
Lanne, A. et al. A perspective on the changing landscape of HTS. Drug Discov. Today 28, 103670 (2023).
Keserü, G. M. & Makara, G. M. The influence of lead discovery strategies on the properties of drug candidates. Nat. Rev. Drug Discov. 8, 203–212 (2009).
Leeson, P. D. & Springthorpe, B. The influence of drug-like concepts on decision-making in medicinal chemistry. Nat. Rev. Drug Discov. 6, 881–890 (2007).
Perola, E. An analysis of the binding efficiencies of drugs and their leads in successful drug discovery programs. J. Med. Chem. 53, 2986–2997 (2010).
Hann, M. M., Leach, A. R. & Harper, G. Molecular complexity and its impact on the probability of finding leads for drug discovery. J. Chem. Inf. Comput. Sci. 41, 856–864 (2001).
Oprea, T. I., Davis, A. M., Teague, S. J. & Leeson, P. D. Is there a difference between leads and drugs? A historical perspective. J. Chem. Inf. Comput. Sci. 41, 1308–1315 (2001).
Hann, M. M. & Keserü, G. M. Finding the sweet spot: the role of nature and nurture in medicinal chemistry. Nat. Rev. Drug Discov. 11, 355–365 (2012).
Brown, D. G. & Boström, J. Where do recent small molecule clinical development candidates come from? J. Med. Chem. 61, 9442–9468 (2018).
Brown, D. G. An analysis of successful hit-to-clinical candidate pairs. J. Med. Chem. 66, 7101–7139 (2023).
Beckers, M., Fechner, N. & Stiefl, N. 25 years of small-molecule optimization at Novartis: a retrospective analysis of chemical series evolution. J. Chem. Inf. Model. 62, 6002–6021 (2022).
Morgan, P. et al. Impact of a five-dimensional framework on R&D productivity at AstraZeneca. Nat. Rev. Drug Discov. 17, 167–181 (2018).
Dragovich, P. S., Haap, W., Mulvihill, M. M., Plancher, J.-M. & Stepan, A. F. Small-molecule lead-finding trends across the Roche and Genentech research organizations. J. Med. Chem. 65, 3606–3615 (2022).
Goodnow, R. A., Dumelin, C. E. & Keefe, A. D. DNA-encoded chemistry: enabling the deeper sampling of chemical space. Nat. Rev. Drug Discov. 16, 131–147 (2017).
Gentile, F. et al. Deep docking: a deep learning platform for augmentation of structure based drug discovery. ACS Cent. Sci. 6, 939–949 (2020).
Sadybekov, A. A. et al. Synthon-based ligand discovery in virtual libraries of over 11 billion compounds. Nature 601, 452–459 (2022).
Grygorenko, O. O. et al. Generating multibillion chemical space of readily accessible screening compounds. iScience 23, 101681 (2020).
Kenny, P. W. Hydrogen-bond donors in drug design. J. Med. Chem. 65, 14261–14275 (2022).
Teague, S. J., Davis, A. M., Leeson, P. D. & Oprea, T. The design of leadlike combinatorial libraries. Angew. Chem. Int. Ed. 38, 3743–3748 (1999).
Lipinski, C. A., Lombardo, F., Dominy, B. W. & Feeney, P. J. Experimental and computational approaches to estimate solubility and permeability in drug discovery and development settings. Adv. Drug Deliv. Rev. 23, 3–25 (1997).
Hann, M. M. & Oprea, T. I. Pursuing the leadlikeness concept in pharmaceutical research. Curr. Opin. Chem. Biol. 8, 255–263 (2004).
Shultz, M. D. Two decades under the influence of the rule of five and the changing properties of approved oral drugs. J. Med. Chem. 62, 1701–1714 (2019).
Hartung, I. V., Huck, B. R. & Crespo, A. Rules were made to be broken. Nat. Rev. Chem. 7, 3–4 (2023).
Doak, B. C., Zheng, J., Dobritzsch, D. & Kihlberg, J. How beyond rule of 5 drugs and clinical candidates bind to their targets. J. Med. Chem. 59, 2312–2327 (2016).
Doak, B. C., Over, B., Giordanetto, F. & Kihlberg, J. Oral druggable space beyond the rule of 5: insights from drugs and clinical candidates. Chem. Biol. 21, 1115–1142 (2014).
Doak, B. C. & Kihlberg, J. Drug discovery beyond the rule of 5—opportunities and challenges. Expert Opin. Drug Discov. 12, 115–119 (2017).
O’ Donovan, D. H., De Fusco, C., Kuhnke, L. & Reichel, A. Trends in molecular properties, bioavailability, and permeability across the bayer compound collection. J. Med. Chem. 66, 2347–2360 (2023).
Stegemann, S. et al. Trends in oral small-molecule drug discovery and product development based on product launches before and after the rule of five. Drug Discov. Today 28, 103344 (2023).
Kettle, J. G. & Wilson, D. M. Standing on the shoulders of giants: a retrospective analysis of kinase drug discovery at AstraZeneca. Drug Discov. Today 21, 1596–1608 (2016).
Agarwal, P., Huckle, J., Newman, J. & Reid, D. L. Trends in small molecule drug properties: a developability molecule assessment perspective. Drug Discov. Today 27, 103366 (2022).
Churcher, I., Newbold, S. & Murray, C. W. Return to flatland. Nat. Rev. Chem. 9, 140–141 (2025).
Young, R. J. & Leeson, P. D. Mapping the efficiency and physicochemical trajectories of successful optimizations. J. Med. Chem. 61, 6421–6467 (2018).
Roskoski, R. Properties of FDA-approved small molecule protein kinase inhibitors: a 2024 update. Pharmacol. Res. 200, 107059 (2024).
Cheke, R. S. & Kharkar, P. S. Covalent inhibitors: an ambitious approach for the discovery of newer oncotherapeutics. Drug Dev. Res. 85, e22132 (2024).
Dalton, S. E., Di Pietro, O. & Hennessy, E. A medicinal chemistry perspective on FDA-approved small molecule drugs with a covalent mechanism of action. J. Med. Chem. 68, 2307–2313 (2025).
Paananen, J. & Fortino, V. An omics perspective on drug target discovery platforms. Brief. Bioinform. 21, 1937–1953 (2020).
Ivanisevic, T. & Sewduth, R. N. Multi-omics integration for the design of novel therapies and the identification of novel biomarkers. Proteomes 11, 34 (2023).
Xie, X. et al. Recent advances in targeting the “undruggable” proteins: from drug discovery to clinical trials. Signal Transduct. Target. Ther. 8, 335 (2023).
Hughes, S. J., Testa, A., Thompson, N. & Churcher, I. The rise and rise of protein degradation: opportunities and challenges ahead. Drug Discov. Today 26, 2889–2897 (2021).
Han, X. & Sun, Y. Strategies for the discovery of oral PROTAC degraders aimed at cancer therapy. Cell Rep. Phys. Sci. 3, 101062 (2022).
Mullard, A. Protein degraders push into novel target space. Nat. Rev. Drug Discov. 23, 799–802 (2024).
Schade, M. et al. Structural and physicochemical features of oral PROTACs. J. Med. Chem. 67, 13106–13116 (2024).
Mayor-Ruiz, C. et al. Rational discovery of molecular glue degraders via scalable chemical profiling. Nat. Chem. Biol. 16, 1199–1207 (2020).
Schreiber, S. L. The rise of molecular glues. Cell 184, 3–9 (2021).
Garcia Jimenez, D., Poongavanam, V. & Kihlberg, J. Macrocycles in drug discovery—learning from the past for the future. J. Med. Chem. 66, 5377–5396 (2023).
Lu, H. et al. Recent advances in the development of protein–protein interactions modulators: mechanisms and clinical trials. Signal Transduct. Target. Ther. 5, 213 (2020).
Edmondson, S. D. Discovery of the first clinical protein degrader for the treatment of autoimmune indications: orally bioavailable and selective IRAK4 degrader KT-474. J. Med. Chem. 67, 18017–18021 (2024).
Zhao, C. & Dekker, F. J. Novel design strategies to enhance the efficiency of proteolysis targeting chimeras. ACS Pharmacol. Transl. Sci. 5, 710–723 (2022).
Malarvannan, M., Unnikrishnan, S., Monohar, S., Ravichandiran, V. & Paul, D. Design and optimization strategies of PROTACs and its application, comparisons to other targeted protein degradation for multiple oncology therapies. Bioorg. Chem. 154, 107984 (2025).
Ratni, H. et al. Discovery of risdiplam, a selective survival of motor neuron-2 (SMN2) gene splicing modifier for the treatment of spinal muscular atrophy (SMA). J. Med. Chem. 61, 6501–6517 (2018).
Julio, A. R. & Backus, K. M. New approaches to target RNA binding proteins. Curr. Opin. Chem. Biol. 62, 13–23 (2021).
Falese, J. P., Donlic, A. & Hargrove, A. E. Targeting RNA with small molecules: from fundamental principles towards the clinic. Chem. Soc. Rev. 50, 2224–2243 (2021).
Childs-Disney, J. L. et al. Targeting RNA structures with small molecules. Nat. Rev. Drug Discov. 21, 736–762 (2022).
Tsai, J. M., Nowak, R. P., Ebert, B. L. & Fischer, E. S. Targeted protein degradation: from mechanisms to clinic. Nat. Rev. Mol. Cell Biol. 25, 740–757 (2024).
Kwan, A. K., Piazza, G. A., Keeton, A. B. & Leite, C. A. The path to the clinic: a comprehensive review on direct KRASG12C inhibitors. J. Exp. Clin. Cancer Res. 41, 27 (2022).
Schuffenhauer, A. et al. Evolution of Novartis’ small molecule screening deck design. J. Med. Chem. 63, 14425–14447 (2020).
Johns, D. G. et al. Orally bioavailable macrocyclic peptide that inhibits binding of PCSK9 to the low density lipoprotein receptor. Circulation 148, 144–158 (2023).
Klarich, K., Goldman, B., Kramer, T., Riley, P. & Walters, W. P. Thompson sampling—an efficient method for searching ultralarge synthesis on demand databases. J. Chem. Inf. Model. 64, 1158–1171 (2024).
Zhong, Z. et al. Recent advances in deep learning for retrosynthesis. WIREs Comput. Mol. Sci. 14, e1694 (2024).
Saigiridharan, L. et al. AiZynthFinder 4.0: developments based on learnings from 3 years of industrial application. J. Cheminform. 16, 57 (2024).
Ivanenkov, Y. et al. The hitchhiker’s guide to deep learning driven generative chemistry. ACS Med. Chem. Lett. 14, 901–915 (2023).
Du, Y. et al. Machine learning-aided generative molecular design. Nat. Mach. Intell. 6, 589–604 (2024).
Makara, G. M., Kovács, L., Szabó, I. & Pőcze, G. Derivatization design of synthetically accessible space for optimization: in silico synthesis vs deep generative design. ACS Med. Chem. Lett. 12, 185–194 (2021).
Swanson, K. et al. ADMET-AI: a machine learning ADMET platform for evaluation of large-scale chemical libraries. Bioinformatics 40, btae416 (2024).
Thompson, J. et al. Optimizing active learning for free energy calculations. Artif. Intell. Life Sci. 2, 100050 (2022).
Ren, F. et al. A small-molecule TNIK inhibitor targets fibrosis in preclinical and clinical models. Nat. Biotechnol. https://doi.org/10.1038/s41587-024-02143-0 (2024).
Ertl, P., Rohde, B. & Selzer, P. Fast calculation of molecular polar surface area as a sum of fragment-based contributions and its application to the prediction of drug transport properties. J. Med. Chem. 43, 3714–3717 (2000).
Berthold, M. R. et al. {KNIME} The {K}onstanz {I}nformation {M}iner. In Studies in Classification, Data Analysis, and Knowledge Organization (GfKL 2007) (eds Gaul, W. et al.) 319–326 (Springer, 2007).
Rogers, D. & Hahn, M. Extended-connectivity fingerprints. J. Chem. Inf. Model. 50, 742–754 (2010).
Bajusz, D., Rácz, A. & Héberger, K. Why is Tanimoto index an appropriate choice for fingerprint-based similarity calculations? J. Cheminform. 7, 20 (2015).
Hopkins, A. L., Keserü, G. M., Leeson, P. D., Rees, D. C. & Reynolds, C. H. The role of ligand efficiency metrics in drug discovery. Nat. Rev. Drug Discov. 13, 105–121 (2014).
Jin, X., Ding, N., Guo, H.-Y. & Hu, Q. Macrocyclic-based strategy in drug design: from lab to the clinic. Eur. J. Med. Chem. 277, 116733 (2024).
Jiang, H., Xiong, H., Gu, S.-X. & Wang, M. E3 ligase ligand optimization of clinical PROTACs. Front. Chem. 11, 1098331 (2023).
Chirnomas, D., Hornberger, K. R. & Crews, C. M. Protein degraders enter the clinic—a new approach to cancer therapy. Nat. Rev. Clin. Oncol. 20, 265–278 (2023).
Rej, R. K. et al. Orally bioavailable proteolysis-targeting chimeras: an innovative approach in the golden era of discovering small-molecule cancer drugs. Pharmaceuticals 17, 494 (2024).
Li, J. et al. Kinase inhibitors and kinase-targeted cancer therapies: recent advances and future perspectives. Int. J. Mol. Sci. 25, 5489 (2024).
Cai, Z., Yang, Z., Li, H. & Fang, Y. Research progress of PROTACs for neurodegenerative diseases therapy. Bioorg. Chem. 147, 107386 (2024).
Yan, S. et al. PROTAC technology: from drug development to probe technology for target deconvolution. Eur. J. Med. Chem. 276, 116725 (2024).
Feng, Y., Hu, X. & Wang, X. Targeted protein degradation in hematologic malignancies: clinical progression towards novel therapeutics. Biomark. Res. 12, 85 (2024).
Ciulli, A. et al. The 17th EFMC short course on medicinal chemistry on small molecule protein degraders. ChemMedChem 18, e202300464 (2023).
Nowak, R. P. et al. Structural rationalization of GSPT1 and IKZF1 degradation by thalidomide molecular glue derivatives. RSC Med. Chem. 14, 501–506 (2023).
Ito, T. Protein degraders—from thalidomide to new PROTACs. J. Biochem. 175, 507–519 (2024).
Bouvier, C. et al. Breaking bad proteins—discovery approaches and the road to clinic for degraders. Cells 13, 578 (2024).
Oleinikovas, V., Gainza, P., Ryckmans, T., Fasching, B. & Thomä, N. H. From thalidomide to rational molecular glue design for targeted protein degradation. Annu. Rev. Pharmacol. Toxicol. 64, 291–312 (2024).
Mason, J. W. et al. DNA-encoded library-enabled discovery of proximity-inducing small molecules. Nat. Chem. Biol. 20, 170–179 (2024).
Konstantinidou, M. & Arkin, M. R. Molecular glues for protein–protein interactions: progressing toward a new dream. Cell Chem. Biol. 31, 1064–1088 (2024).
Zhang, D., Lin, P. & Lin, J. Molecular glues targeting GSPT1 in cancers: a potent therapy. Bioorg. Chem. 143, 107000 (2024).
Macalino, S. J. Y. et al. Evolution of in silico strategies for protein–protein interaction drug discovery. Molecules 23, 1963 (2018).
Mabonga, L. & Kappo, A. P. Protein–protein interaction modulators: advances, successes and remaining challenges. Biophys. Rev. 11, 559–581 (2019).
Shin, W.-H., Kumazawa, K., Imai, K., Hirokawa, T. & Kihara, D. Current challenges and opportunities in designing protein–protein interaction targeted drugs. Adv. Appl. Bioinforma. Chem. 13, 11–25 (2020).
Wang, S. & Chen, F.-E. Small-molecule MDM2 inhibitors in clinical trials for cancer therapy. Eur. J. Med. Chem. 236, 114334 (2022).
Akbarzadeh, S., Coşkun, Ö. & Günçer, B. Studying protein–protein interactions: latest and most popular approaches. J. Struct. Biol. 216, 108118 (2024).
Acknowledgements
The authors are grateful for the valuable suggestions and comments of the referees. They thank all members of Global Discovery Chemistry at Novartis who provided information on the hit finding strategies. The authors thank A. Schuffenhauer, D. Baeschlin, J. Duca and M. Mogi for critical feedback on the analyses. They thank all colleagues at AstraZeneca who have provided valuable data for the analysis. A.R., L.M.M. and G.M.K. were supported by the National Drug Discovery and Development Laboratory project (PharmaLab, RRF-2.3.1-21-2022-00015) of the National Research, Development and Innovation Office. A.R. was supported by the Hungarian Academy of Sciences: János Bolyai Research Scholarship.
Author information
Authors and Affiliations
Corresponding author
Ethics declarations
Competing interests
M.B., N.F., F.S. and N.S. are or were employees and shareholders of Novartis Pharma. W.M., E.E. and M.L. are employees and shareholders of AstraZeneca. G.M. is a shareholder of ChemPass. G.M.K. is a scientific advisory board member of Cytocast, ChemPass and Molecure Therapeutics and a shareholder of Gedeon Richter.
Peer review
Peer review information
Nature Reviews Drug Discovery thanks Andreas Reichel, David Degoey and the other, anonymous, reviewer(s) for their contribution to the peer review of this work.
Additional information
Publisher’s note Springer Nature remains neutral with regard to jurisdictional claims in published maps and institutional affiliations.
Related links
ChEMBL: https://www.ebi.ac.uk/chembl/
Enamine REAL: https://enamine.net/compound-collections/real-compounds/real-database
Instant JChem: https://chemaxon.com/instant-jchem
MarvinSketch: http://www.chemaxon.com
RDKit: Open-Source Cheminformatics: https://www.rdkit.org
TIBCO Statistica: https://www.tibco.com
WuXi AppTec GalaXi: https://wuxibiology.com/drug-discovery-services/hit-finding-and-screening-services/virtual-screening
Supplementary information
Glossary
- Chemical fingerprints
-
Strings representing molecules as a sequence of bits to encode information on their molecular structure.
- DNA-encoded libraries
-
(DELs). A collection of molecules, individually coupled to distinctive DNA tags serving as unique identifiers to identify actives by affinity selection.
- Fragments
-
Small polar organic molecules with reduced complexity and molecular weight (MW).
- Lead-likeness
-
A term typically used for small molecules that resemble leads that could historically be developed into oral drugs. Actual criteria vary but typically lead-like molecules do not have undesirable moieties and have properties that do not violate a stricter version of Lipinski’s rules such as molecular weight (MW) < 350 Da and logP < 3.
- Ligand efficiency
-
(LE). A measure proposed to quantify the average contribution of a heavy atom (HA) to binding (Gibb’s free energy divided by the number of HAs). Originally intended to be used with Kd but since has often been applied to any measure of potency.
- Lipinski’s rule of five
-
(Ro5). Four criteria identified by Lipinski et al. to be relevant for oral bioavailability: molecular weight (MW) < 500 Da, number of hydrogen-bond acceptors (HBAs) < 10, number of hydrogen-bond donors (HBDs) < 5 and clogP < 5.
- Lipophilic ligand efficiency
-
(LLE). Represents the relationship between the target binding (measured as IC50 or EC50) and the lipophilicity (logP or logD) of the compound.
- LogD
-
The distribution coefficient that measures the partition of ionizable compounds as a function of the pH.
- LogP
-
The log of the partition coefficient of a solute between octanol and water.
- LogS
-
The 10-based logarithm of the solubility measured in moles per litre.
- Pharmacophore fingerprints
-
The representation of small-molecule ligands annotated with target interaction features into a string.
- pPotency
-
Calculated as –log(potency), in which potency is either a measure of binding (Kd) or biological activity (Ki, IC50 or EC50).
- SMILES strings
-
(Simplified Molecular Input Line Entry System strings). SMILES is a line notation (a typographical method using printable characters) for entering and representing molecules and reactions.
Rights and permissions
Springer Nature or its licensor (e.g. a society or other partner) holds exclusive rights to this article under a publishing agreement with the author(s) or other rightsholder(s); author self-archiving of the accepted manuscript version of this article is solely governed by the terms of such publishing agreement and applicable law.
About this article
Cite this article
Rácz, A., Mihalovits, L.M., Beckers, M. et al. The changing landscape of medicinal chemistry optimization. Nat Rev Drug Discov 24, 870–887 (2025). https://doi.org/10.1038/s41573-025-01225-1
Accepted:
Published:
Version of record:
Issue date:
DOI: https://doi.org/10.1038/s41573-025-01225-1
This article is cited by
-
Developments and challenges in hit progression within fragment-based drug discovery
Nature Communications (2026)
-
On the Issue of Biological Activity of Cobalt bis(dicarbollide) Derivatives: Conformation of the [8-EtO-8’-I-3,3’-Co(1,2-C2B9H10)2]− Anion
Journal of Cluster Science (2025)


