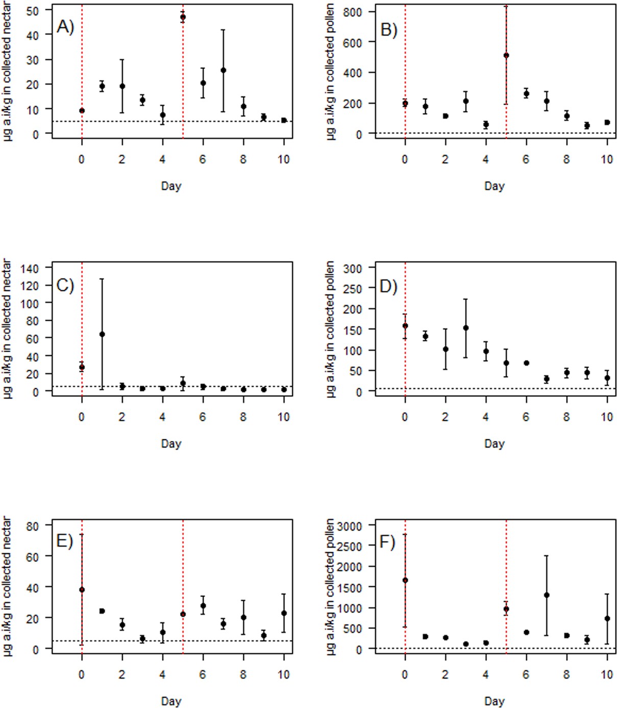
Extended Data Fig. 1: Concentrations of sulfoxaflor in forager-collected resources from a USA EPA cotton study.
From: Sulfoxaflor exposure reduces bumblebee reproductive success

Mean µg of active ingredient (a.i.) per kg (mean ± s.e.m.) found in the nectar (a, c, e) and pollen (b, d, f) of honeybees foraging on cotton crops sprayed with sulfoxaflor. Note the differences in y-axis scale between graphs, owing to considerably higher concentrations in pollen. Red lines indicate spray application. Dosage: twice over ten days at 0.045 pounds a.i. per acre (a, b); once over ten days at 0.045 pounds a.i. per acre (c, d); twice over ten days at 0.089 pounds a.i. per acre (e, f). The black dotted horizontal line indicates the equivalent amount of sulfoxaflor (5 ppb) that was fed to sulfoxaflor-treated colonies in sucrose in our experiment. Data are means from two hives; number of individual bees sampled is not published27.