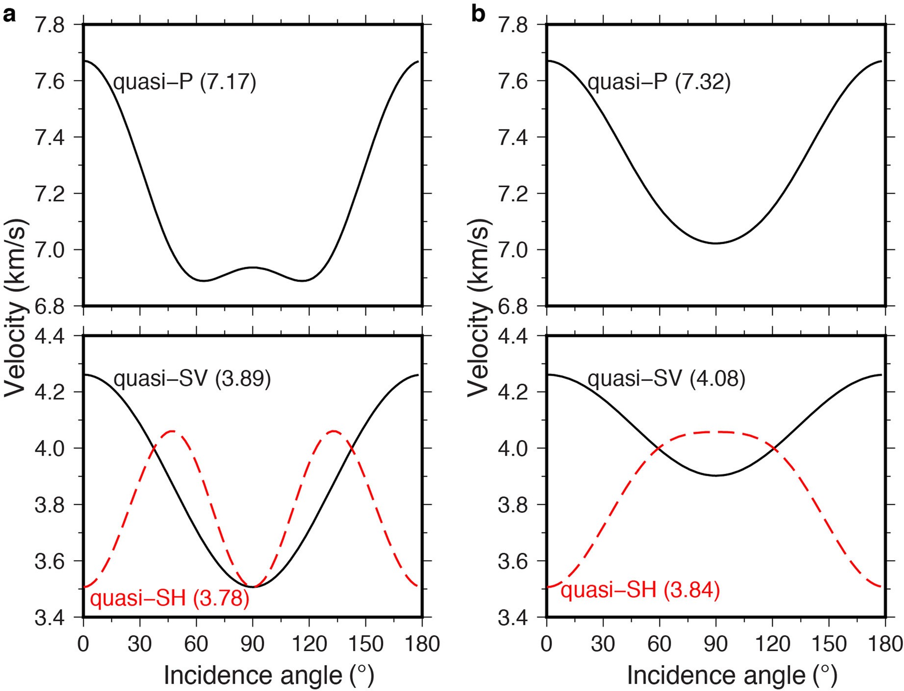
Extended Data Fig. 2: Azimuthal anisotropy from evenly distributed serpentine layers (of thickness 450 m and with a spacing of 2 km).
From: Water input into the Mariana subduction zone estimated from ocean-bottom seismic data

a, Result for vertical layering. b, Result for 45° dipping layering. Numbers in the parenthesis are the mean velocity for quasi-P, quasi-SV or quasi-SH. The incidence angle is defined relative to the strike of the layer: 0° is parallel and 90° is normal to the strike.