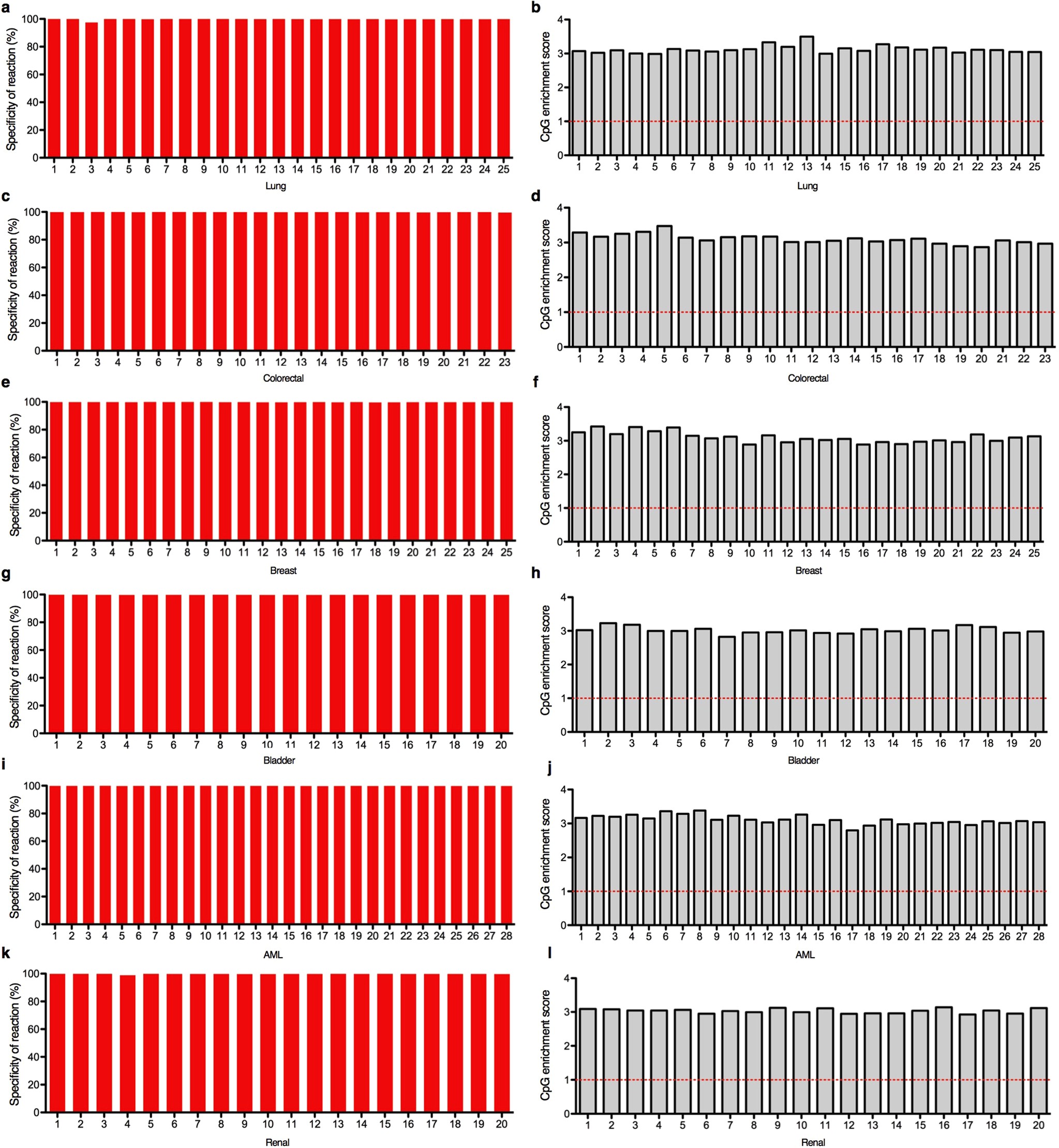
Extended Data Fig. 7: Quality control of cfMeDIP–seq from circulating cfDNA from multiple cancer types.
From: Sensitive tumour detection and classification using plasma cell-free DNA methylomes

a, c, e, g, i, k, Specificity of the reaction; and b, d, f, h, j, CpG enrichment score for each sample per cancer type. The horizontal dashed lines represent a CpG enrichment of 1.