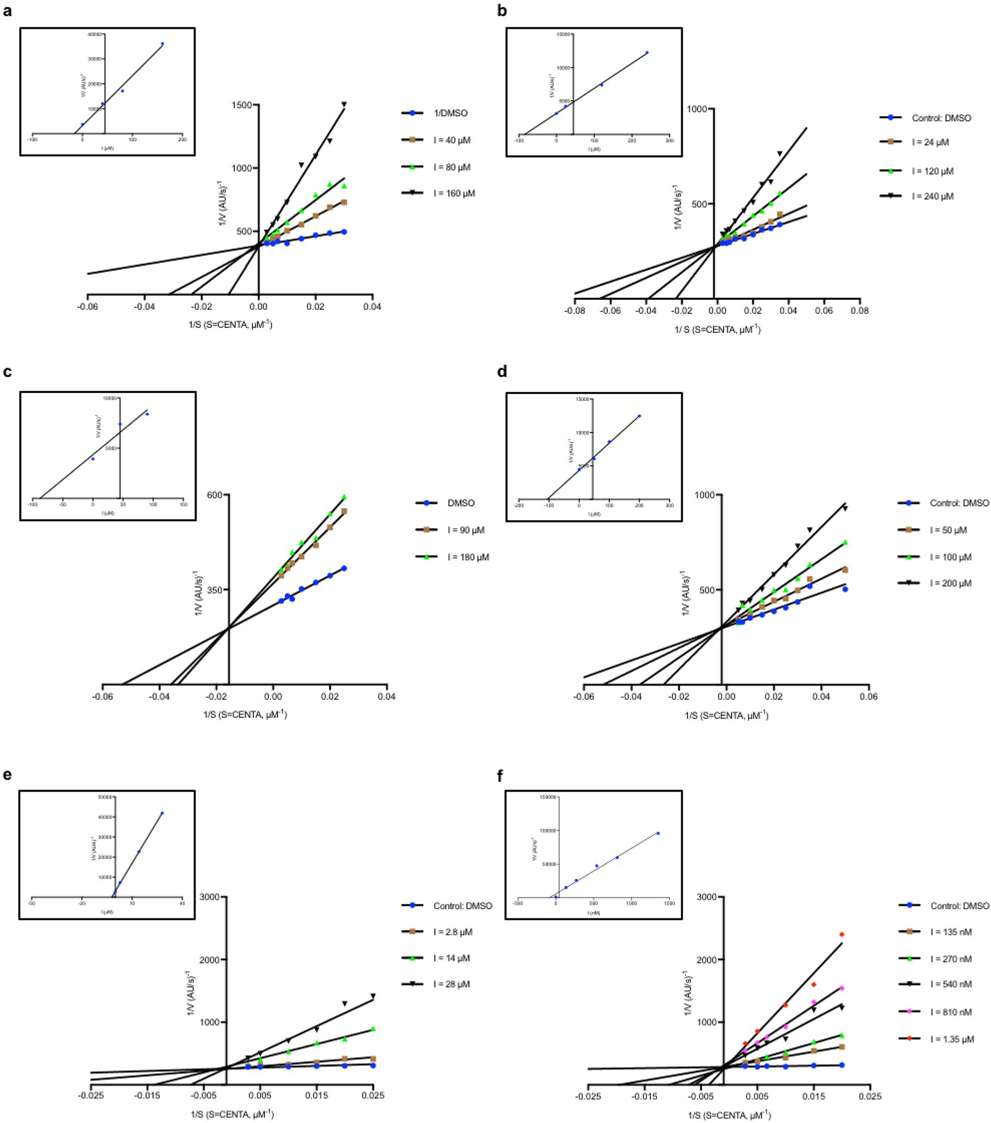
Extended Data Fig. 3: Lineweaver–Burk plot and Ki analysis for analogues of each of the five series of AmpC inhibitors.
From: Ultra-large library docking for discovering new chemotypes

a–f, Lineweaver–Burk plots for ZINC776666294 (a), 275579920 (b), ZINC548592534 (c), ZINC1187516987 (d), 339204163 (e) and 549719643 (f), indicating competitive inhibition. IC50 values were determined by nonlinear regression fit in GraphPad Prism, and Ki values calculated by a replot of the slope of each Lineweaver–Burk plot versus the corresponding inhibitor concentration.