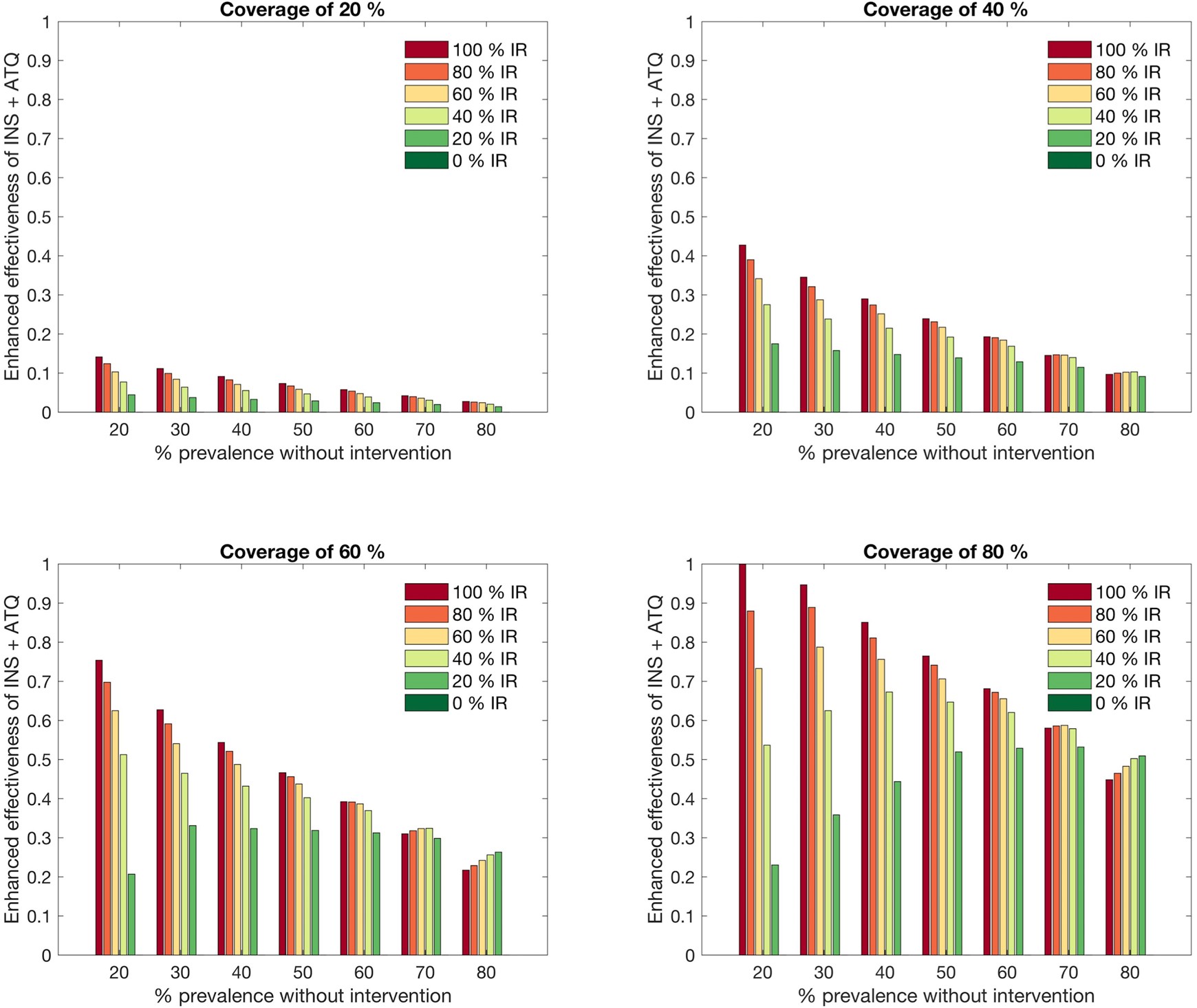
Extended Data Fig. 3: Sensitivity of model results to variation in prevalence, coverage and insecticide resistance.
From: Exposing Anopheles mosquitoes to antimalarials blocks Plasmodium parasite transmission

The graphs show the enhanced effectiveness of insecticide combined with ATQ (relative to insecticide alone) in reducing human prevalence under varying levels of coverage (across panels), prevalence (along x axis), and insecticide resistance (IR) (bar colour). The enhanced effectiveness of the interventions is defined as human prevalence with only insecticide − human prevalence with insecticide and ATQ, divided by human prevalence with insecticide alone, and is represented by positive values when the addition of ATQ is beneficial. Prevalence is quantified after ten years of simulation. The coverage is varied from 20–80% (top left panel 20%; top right panel 40%; bottom left panel 60%; and bottom right panel 80%). In each panel, the position of the bars determines the malaria prevalence under no intervention, from 20–80%. In the complete absence of insecticide resistance, all mosquitoes that contact insecticide are killed; all dark-green bars equal zero.