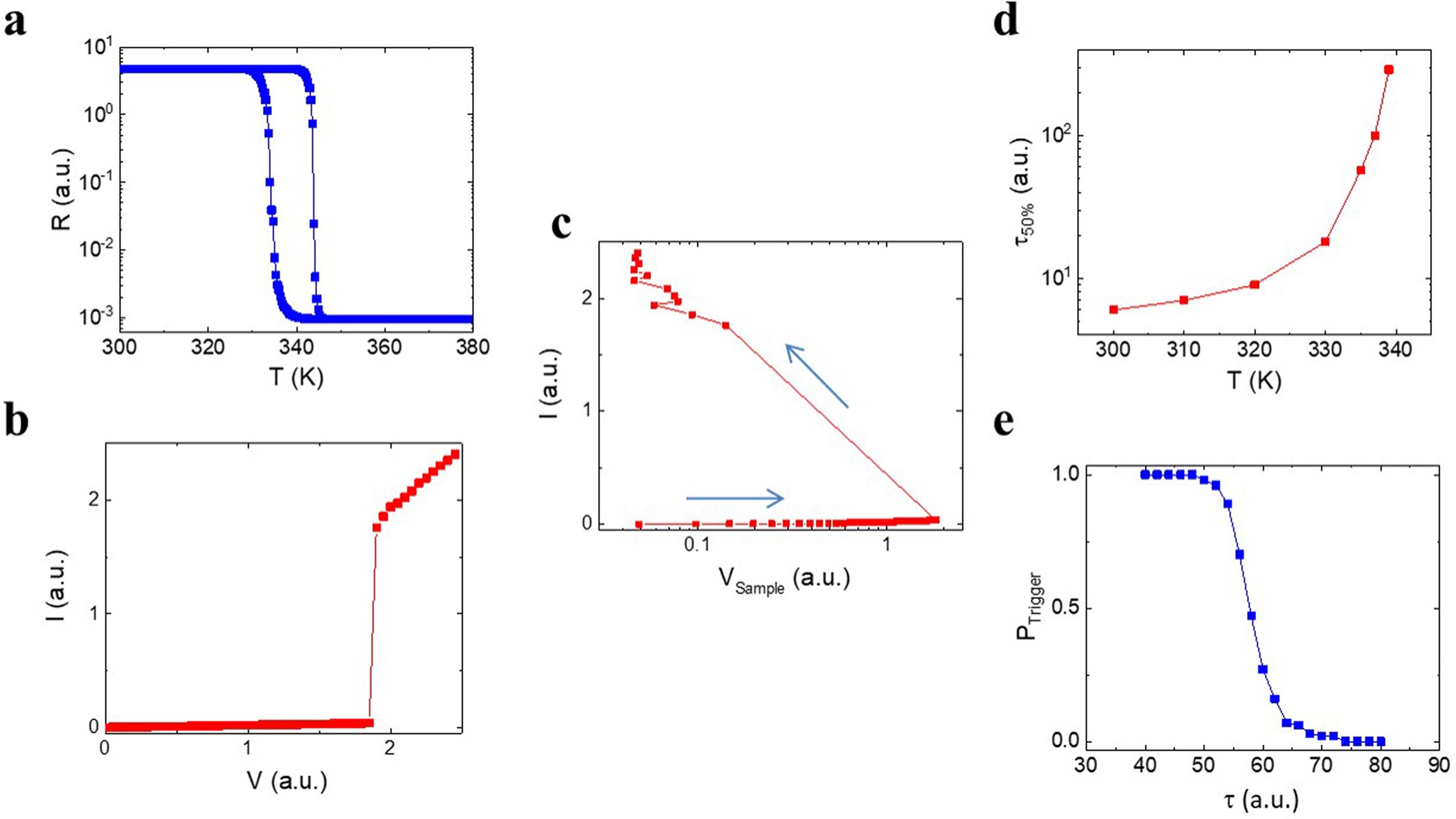
Extended Data Fig. 6: Simulation results.

a, Resistance (R) versus temperature (T) of the simulated network. b, Simulated current (I) versus voltage (V) at T = 330 K. c, Simulated current (I) versus VSample at T = 330 K. d, τ50% versus temperature. τ50% is defined as the time at which there is a 50% probability of triggering the transition with a voltage pulse amplitude of 0.6 VThreshold, using a pump–probe protocol similar to the experiments. e, Probability (PTrigger) that a probe pulse with amplitude 0.6 VThreshold will trigger the transition as a function of the separation time between pulses (τ). The simulation temperature was 335 K.