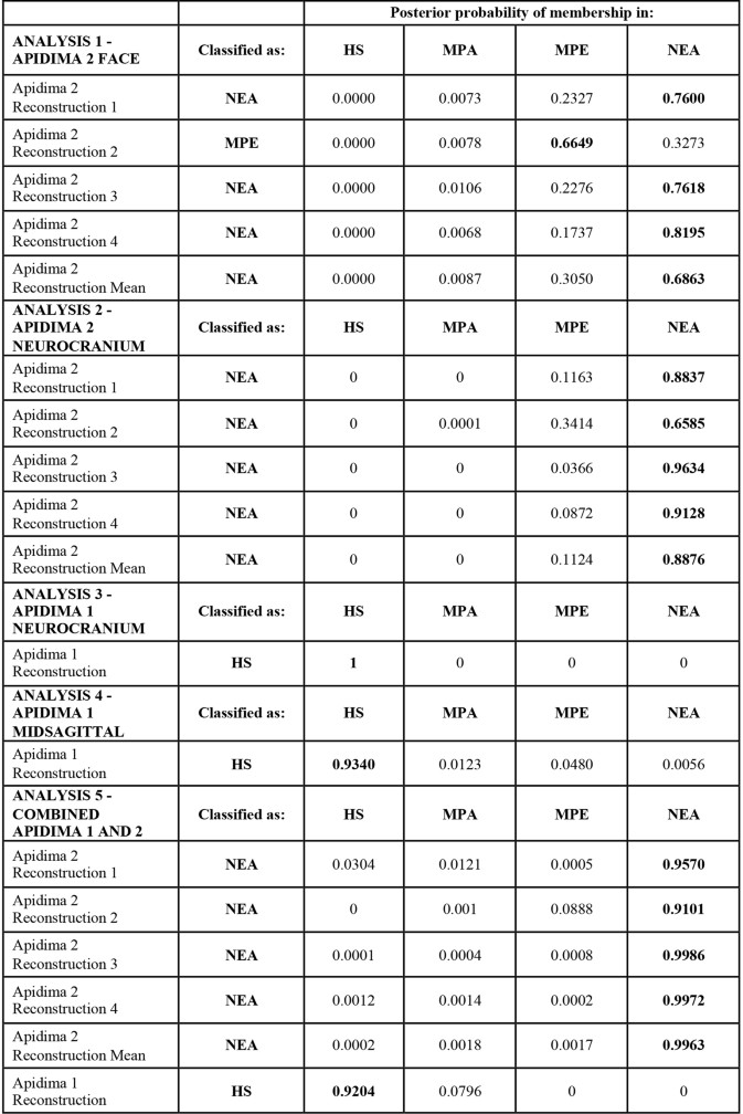
Extended Data Table 1 Classification results

From: Apidima Cave fossils provide earliest evidence of Homo sapiens in Eurasia

  1. Classification of Apidima 1 and Apidima 2 reconstructions and posterior probabilities for analyses 1–5. HS, H. sapiens; NEA, Neanderthal.