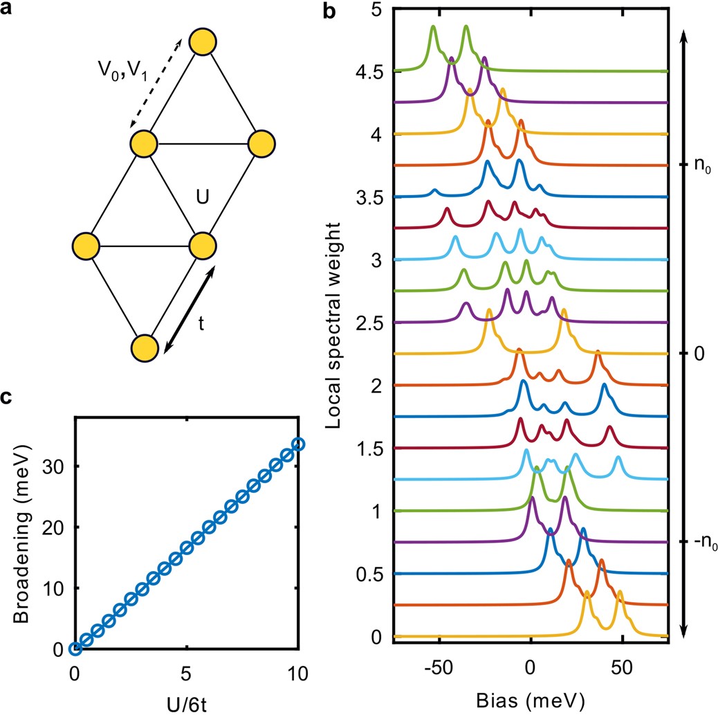
Extended Data Fig. 7: Extended Hubbard model with six sites.
From: Spectroscopic signatures of many-body correlations in magic-angle twisted bilayer graphene

a, Schematic of a six-site cluster two-orbital Hubbard model with on-site energy \(\pm \epsilon \), hopping t, on-site Coulomb interaction U, near-neighbour interactions V0 (same orbital) and V1 (different orbitals). b, Local spectral weight computed from the exact diagonalization of a six-site cluster Hubbard model for different filling factors with \(\epsilon =9\), t = 0.75, U = 30, V0 = 5, V1 = 3.8 (see Methods). The curves beyond \(\pm {n}_{0}\) are obtained by assuming a constant DOS at the Fermi level from the remote bands. The curves are shifted vertically by 0.25 each for clarity. c, Band broadening as a function of the ratio of the on-site Coulomb interaction U to the non-interacting band width 6t, while maintaining V0 = U/6, V1 = U/7.9.