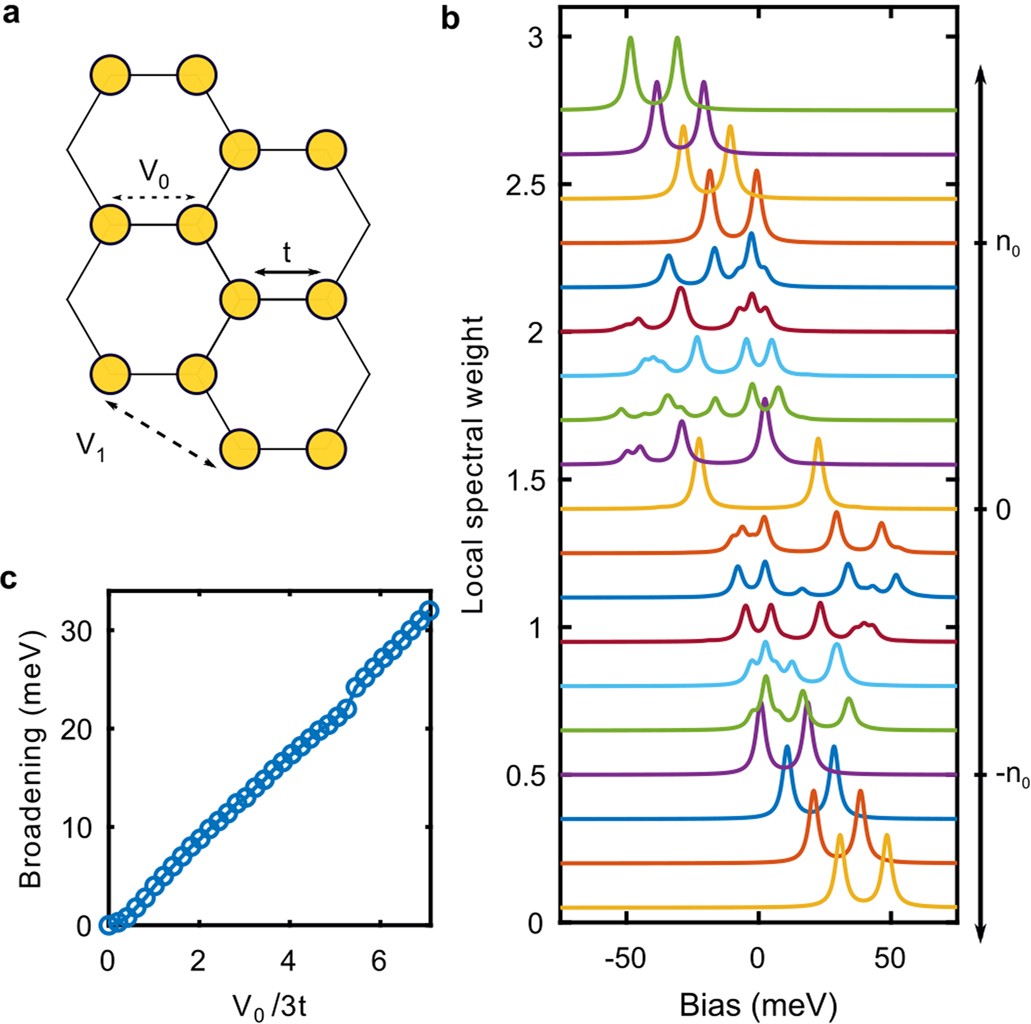
Extended Data Fig. 8: Extended Hubbard model on a honeycomb lattice.
From: Spectroscopic signatures of many-body correlations in magic-angle twisted bilayer graphene

a, Schematics of a 6-unit-cell lattice with one orbital per site, hopping t, nearest site interaction V0 (different sublattices) and next-nearest site interaction V1 (same lattices). b, Local spectral weight computed from the exact diagonalization of a 6-unit-cell lattice Hubbard model for different filling factors with \(\epsilon =8.5\), t = 0.75, V0 = 18.2, V1 = 4.4 (see Methods). The curves beyond \(\pm {n}_{0}\) are obtained by assuming a constant DOS at the Fermi level from the remote bands. The curves are shifted vertically by 0.25 each for clarity. c, Band broadening as a function of the ratio of the nearest site interaction V0 to the non-interacting band width 3t, while maintaining V0 = 4.2V1.