Thank you for visiting nature.com. You are using a browser version with limited support for CSS. To obtain
the best experience, we recommend you use a more up to date browser (or turn off compatibility mode in
Internet Explorer). In the meantime, to ensure continued support, we are displaying the site without styles
and JavaScript.
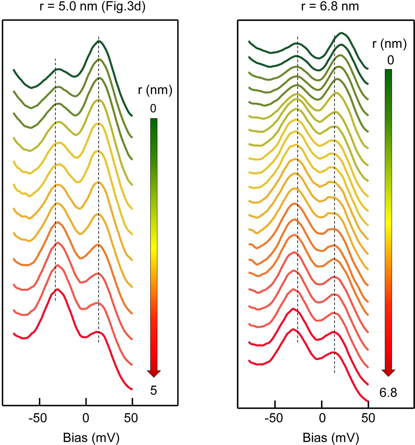
In the left panel (which is the same as Fig. 3d), the distance spanned, about 5 nm, is too small to distinguish the energy shift in the two bands (dashed lines). In the right panel, the data is extended out to r = 6.8 nm, where an energy shift in both LB and UB can be seen. See Methods for details.