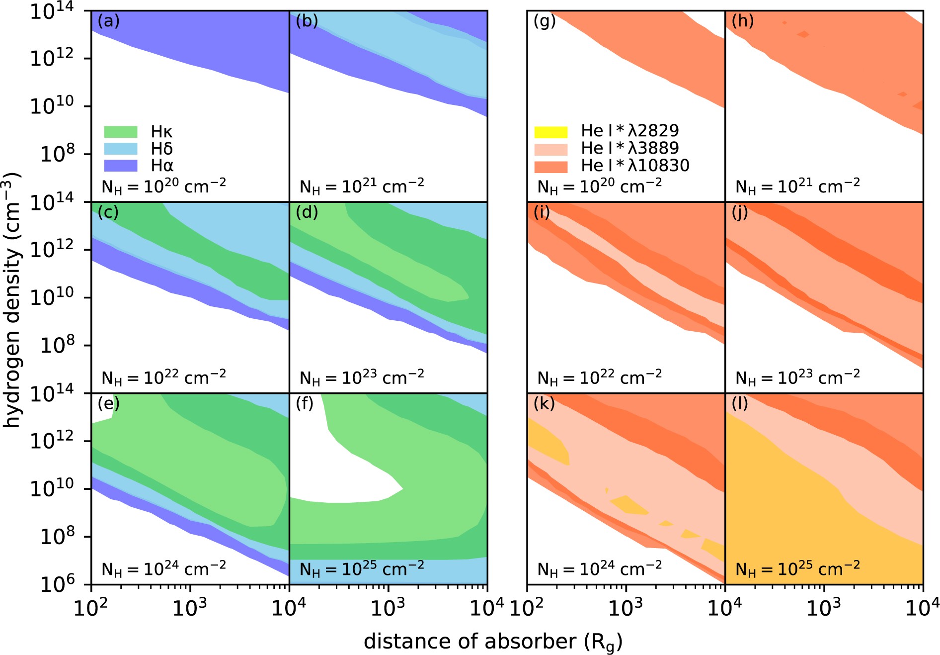
Extended Data Fig. 1: Sensitive range of broad absorption lines in H i* Balmer series and metastable He i*multiplets in gas near a black hole.
From: Fast inflows as the adjacent fuel of supermassive black hole accretion disks in quasars

Assuming a black hole of mass M• = 109Mʘ, accreting at an Eddington ratio of 0.1, the column densities of H0 at the n = 2 level \({N}_{{\rm{col}}}\left({{\rm{H}}}_{n=2}^{0}\right)\) and He0 at the metastable level 23S (Ncol(He023S)) can be evaluated through photoionization simulations for gas of various densities (total hydrogen density; nH), total column density (NH) and distance (in units of Rg). Assuming a Gaussian velocity dispersion (FWHM = 3,000 km s−1), a specified line is considered to be sensitive in measuring the ionic column density as long as the optical depth is in the range 0.05–3 at the line centre. The coloured areas show the sensitive ranges for only three lines in each series for clarity: a–f, Hα, Hδ and Hκ at λrest = 6,564, 4,102 and 3,750 Å; and g–l, \({{\rm{H}}{\rm{e}}\,{\rm{I}}}_{6,4,3}^{\ast }\)≡ He i* λλ2,829, 3,889, 10,830.