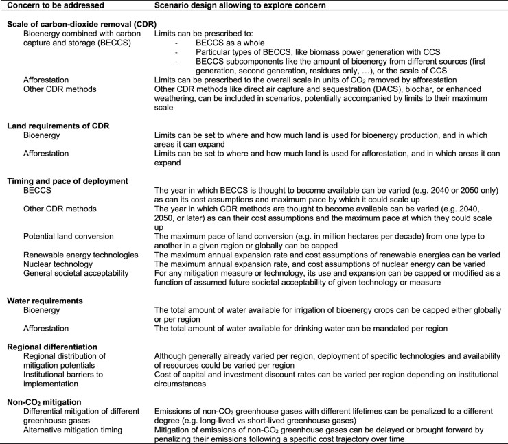
Extended Data Table 2 Illustrative overview of potential extensions of the scenario framework

From: A new scenario logic for the Paris Agreement long-term temperature goal

  1. Selection of concerns related to CDR, pace and timing of technology deployment, water requirement, regional differentiation, and non-CO2 emissions, as well as potential extensions of the suggested scenario design that would allow studies to explore each of these concerns. This list is purely illustrative and non-exhaustive.