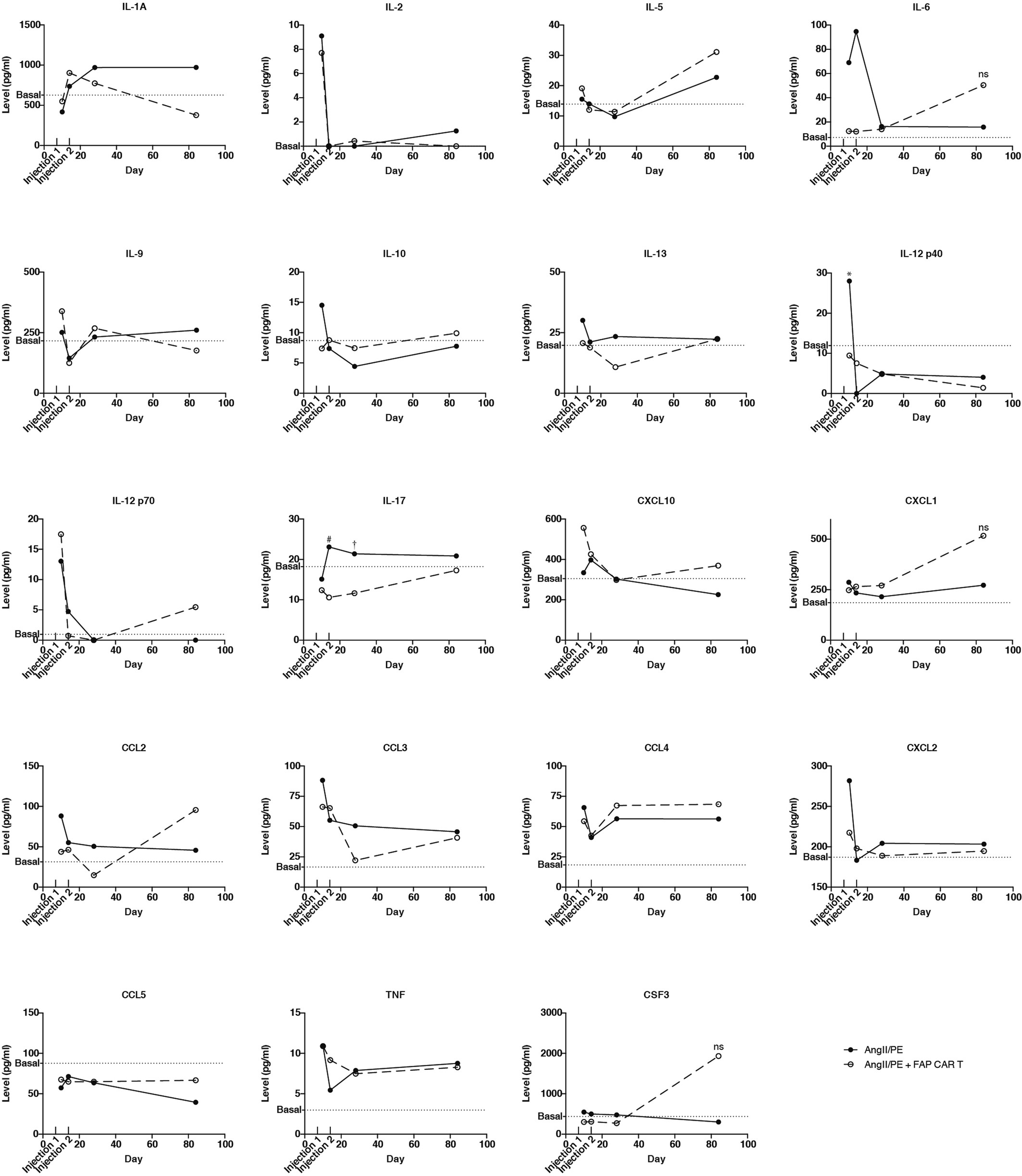
Extended Data Fig. 7: Long-term serum cytokine levels after FAP CAR T cell treatment.

Serum cytokine levels in mice treated with either AngII/PE or AngII/PE and FAP CAR T cells over 12 weeks. FAP CAR T cells were injected at 1 and 2 weeks as indicated. Levels were assessed at 10 days, 2 weeks, 4 weeks and 12 weeks. Basal levels were determined by the average cytokine levels of three untreated mice. INFγ and IL-4 were below the limit of detection in all conditions. *P = 0.019, #P = 0.035, †P = 0.045; two-tailed unpaired Student’s t-test; n = 3 biologically independent mice per condition.