Extended Data Fig. 9: Model sensitivity to parameter settings and boundary conditions.
From: Environmental flow limits to global groundwater pumping

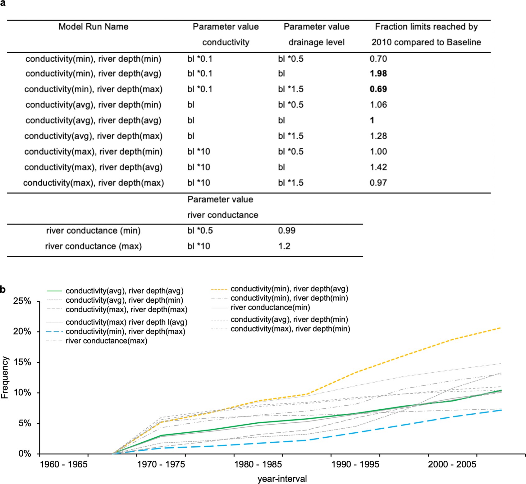
a, Table showing the different parameter settings used; varying the sub-surface conductivity, the river depth and the river conductance by decreasing or increasing the settings of the baseline (‘bl’) run. The baseline run uses the average parameter settings. b, Frequency plot of the first time the environmental flow limits are reached under different parameter settings for 1960–2010. The fractional increase or decrease of estimated environmental limits compared to the baseline run is given in the fourth column of the table in a. The runs with the smallest and largest limits are indicated in bold in the table and presented in blue and yellow, respectively, in the graph.