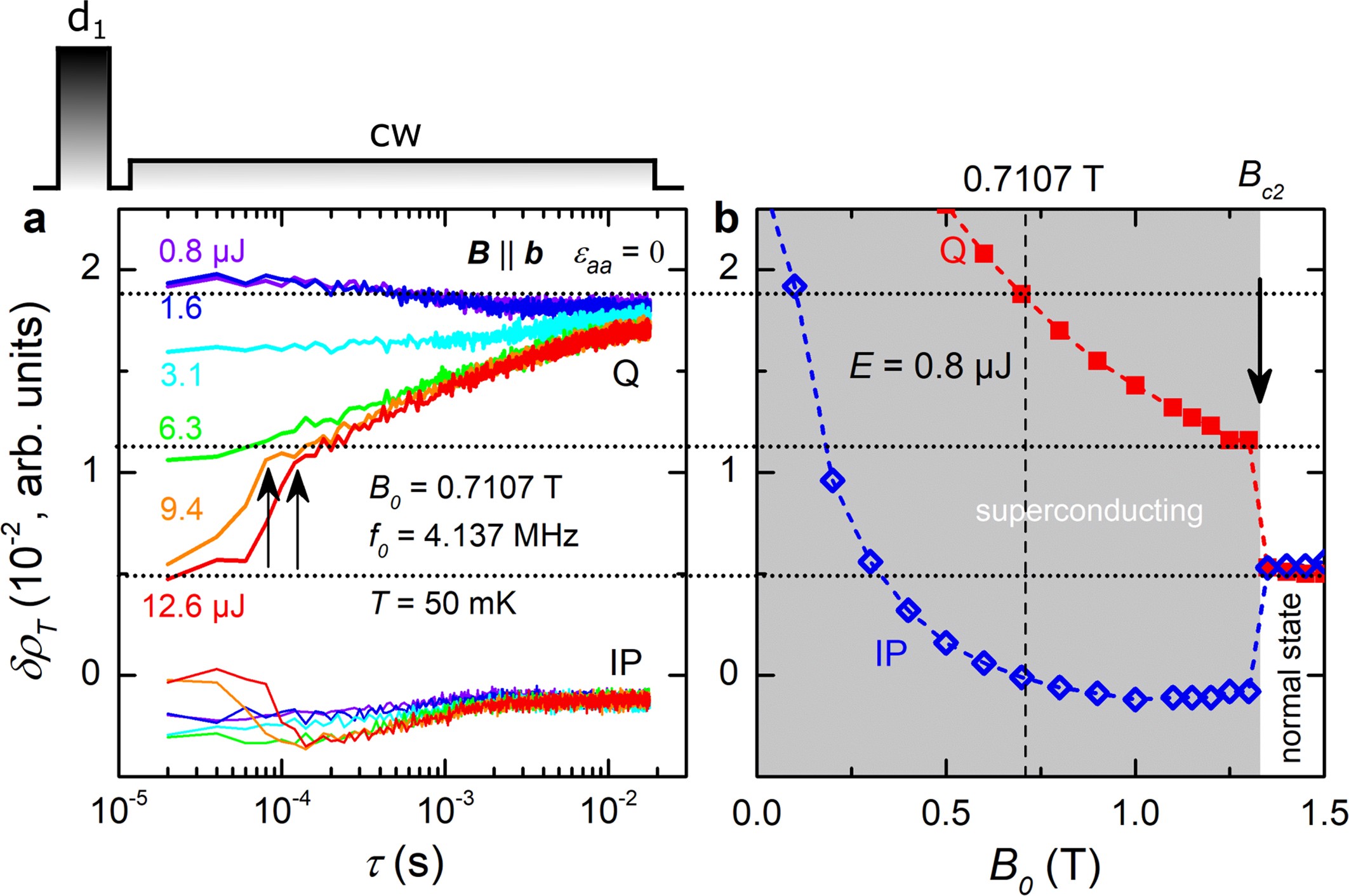
Extended Data Fig. 4: Transient effects associated with normal-state response.

a, The transient components of the reflected power are plotted as a function of pulse energy E and time τ after the pulse (see Fig. 4). CW, continuous wave; IP, in-phase; Q, quadrature. b, The magnetic-field dependence of the reflected power was recorded at E = 0.8 μJ. The changes in δρT(B0) for increasing B0 from the measurement field (0.7107 T) to B0 > Bc2 match well with the time-dependent recovery in a, as indicated by the horizontal dotted lines. Both channels (IP and Q) indicate a variation in δρT that results from a transition between normal and superconducting states around τ ≈ 100 μs.