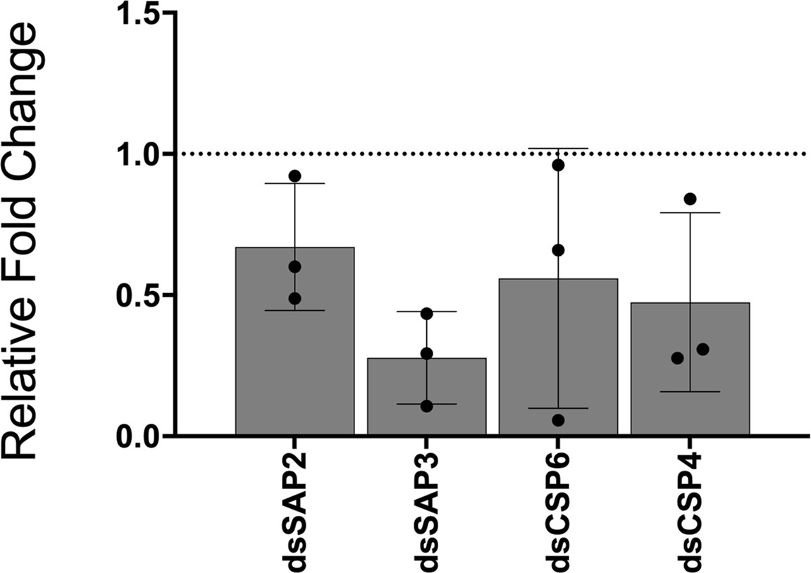
Extended Data Fig. 4: Efficacy of RNAi.
From: A sensory appendage protein protects malaria vectors from pyrethroids

mRNA knockdown of whole female mosquitoes 72 h after injection compared with GFP-injected controls. Data are mean ± s.d. of three biological replicates.