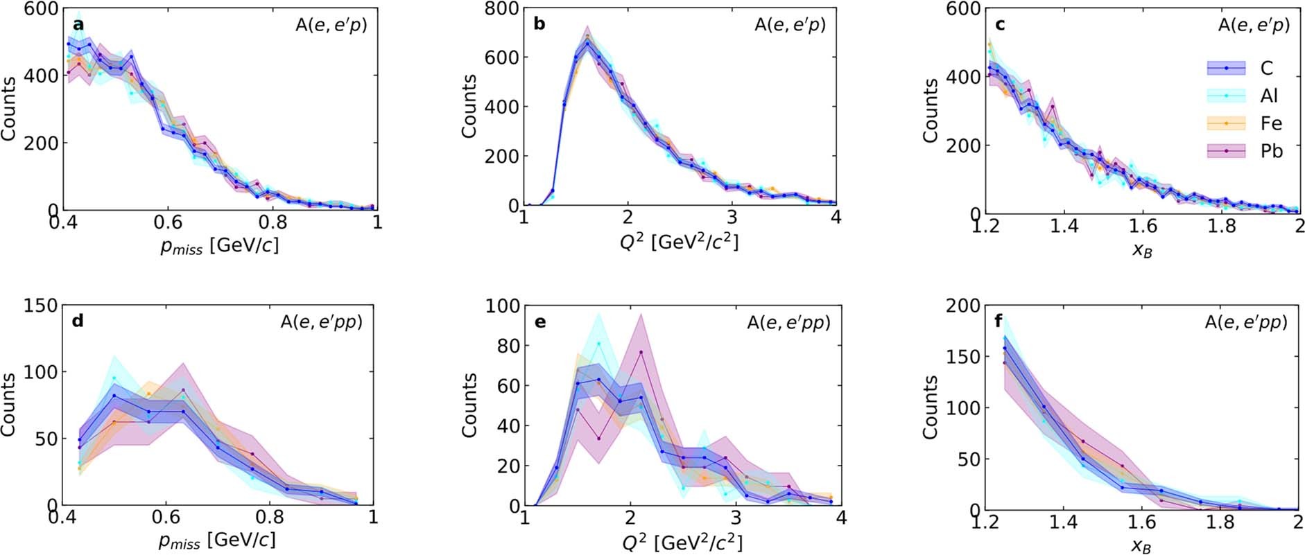
Extended Data Fig. 2: Kinematical distributions and A(e, e′pp)/A(e, e′p) ratios for A = 12–208 nuclei.

a–c, Comparison of the number of A(e, e′p) event reactions versus the (e, e′p) missing momentum pmiss (a), Q2 (b) and xB (c). d–f, Comparison of the number of A(e, e′pp) event reactions versus the (e, e′p) missing momentum pmiss (d), Q2 (e) and xB (f). The total number of counts in aluminium (cyan), iron (orange), and lead (purple) was scaled to match that of carbon (dark blue). The shaded bands indicate the 1σ statistical uncertainty of the data.