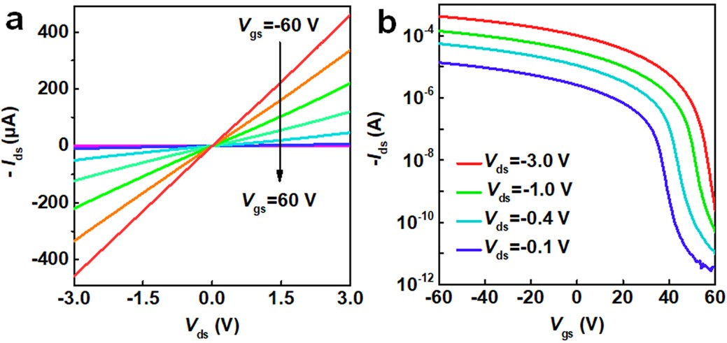
Extended Data Fig. 8: Electrical characterization of a bilayer WSe2 transistors with synthetic vdW contacts.
From: General synthesis of two-dimensional van der Waals heterostructure arrays

a, b, Output (a) and transfer (b) curves of a typical device with synthetic VSe2 vdW contacts on 285-nm SiO2/Si. The channel length is about 2.0 μm.