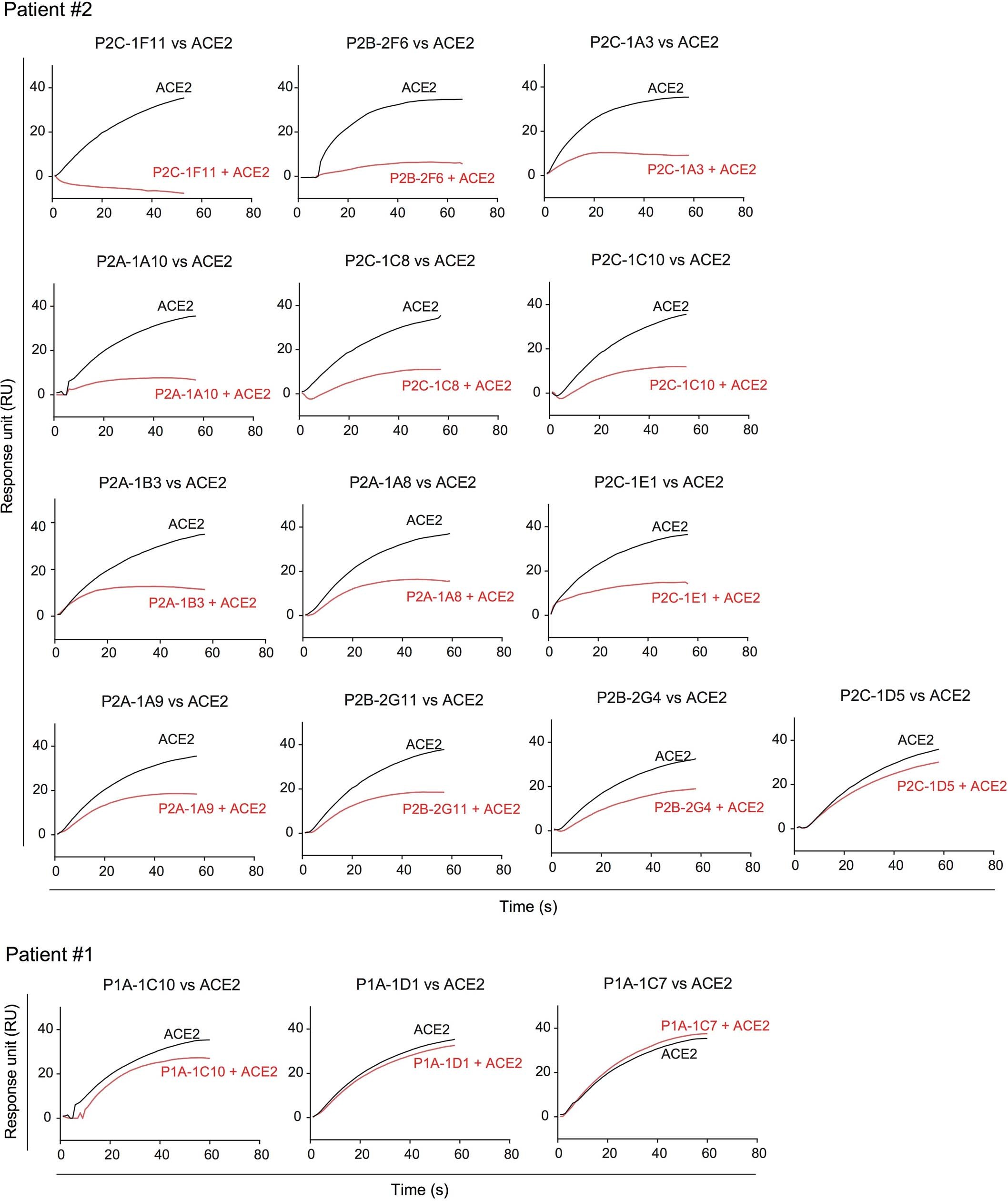
Extended Data Fig. 6: Antibody and ACE2 competition for binding to SARS-CoV-2 RBD measured by SPR.
From: Human neutralizing antibodies elicited by SARS-CoV-2 infection

The sensorgrams show distinct binding patterns of ACE2 to SARS-CoV-2 RBD with (red curve) or without (black curve) prior incubation with each testing antibody. The competition capacity of each antibody is indicated by the level of reduction in response unit of ACE2 comparing with or without prior antibody incubation. Results presented are representatives of two independent experiments.