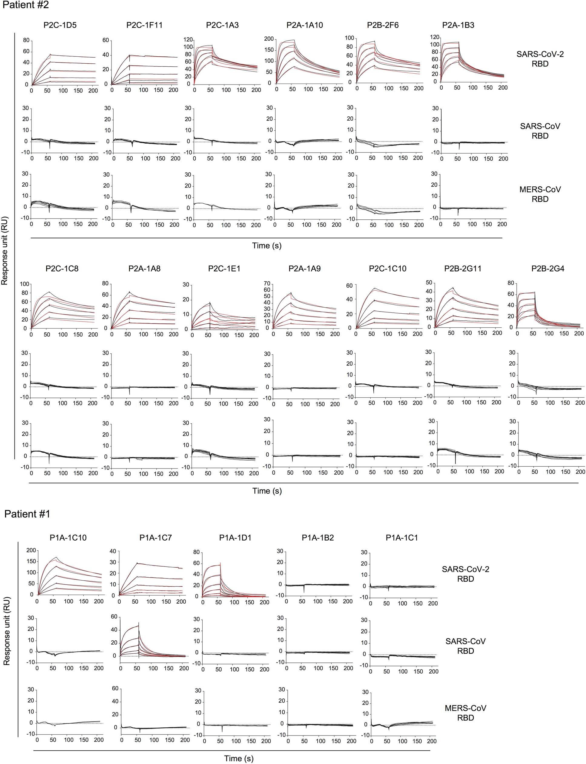
Extended Data Fig. 5: Binding kinetics of isolated monoclonal antibodies with SARS-CoV-2 RBD measured by SPR.
From: Human neutralizing antibodies elicited by SARS-CoV-2 infection

The purified soluble SARS-CoV-2 RBD were covalently immobilized onto a CM5 sensor chip followed by injection of individual antibody at five different concentrations. The black lines indicate the experimentally derived curves while the red lines represent fitted curves based on the experimental data. Results presented are representatives of two independent experiments.