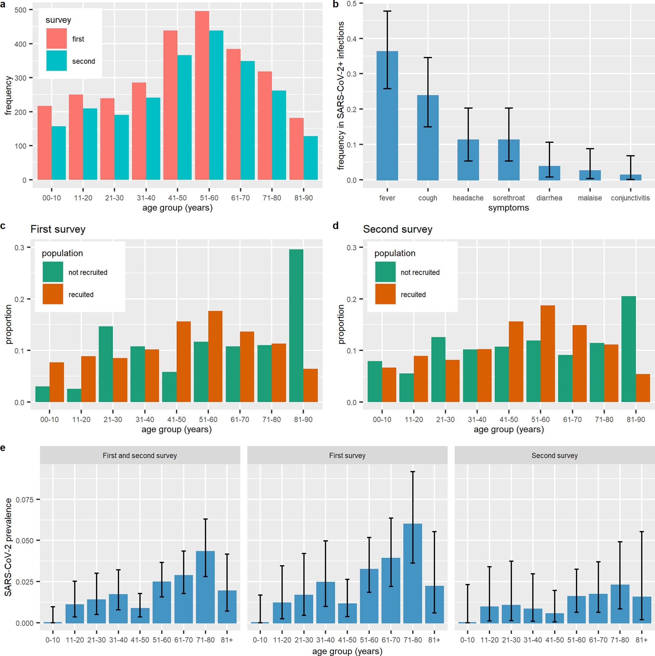
Extended Data Fig. 1: Summary statistics, frequency of symptoms and prevalence by age.
From: Suppression of a SARS-CoV-2 outbreak in the Italian municipality of Vo’

a, Age distributions (in years) of the participants enrolled in the first and second surveys. b, Frequency of individual symptoms (fever x = 29, cough x = 19, sore throat x = 9, headache x = 9, diarrhoea x = 3, malaise x = 2 and conjunctivitis x = 1) among participants with confirmed SARS-CoV-2 infection across the whole study period (that is, the first and second surveys aggregated; n = 80 participants). The error bars represent the 95% exact binomial CI. c, Age distribution of the population recruited and not recruited in the first survey. d, Age distribution of the population recruited and not recruited in the second survey. e, SARS-CoV-2 prevalence by age at the first and second surveys combined (positive x = 0, 5, 6, 9, 7, 23, 21, 25 and 6, tested n = 374, 460, 431, 527, 805, 935, 733, 580 and 310, respectively, in age groups 0–10, 11–20, 21–30, 31–40, 41–50, 51–60, 61–70, 71–80 and 81+ years) and at the first (positive x = 0, 3, 4, 7, 5, 16, 15, 19 and 4, tested n = 217, 250, 240, 286, 439, 496, 384, 318 and 182, respectively, in age groups 0–10, 11–20, 21–30, 31–40, 41–50, 51–60, 61–70, 71–80 and 81+ years) and second (positive x = 0, 2, 2, 2, 2, 7, 6, 6 and 2, tested n = 157, 210, 191, 241, 366, 439, 389, 262 and 128, respectively, in age groups 0–10, 11–20, 21–30, 31–40, 41–50, 51–60, 61–70, 71–80 and 81+ years) surveys separately. The error bars represent the 95% exact binomial CI.