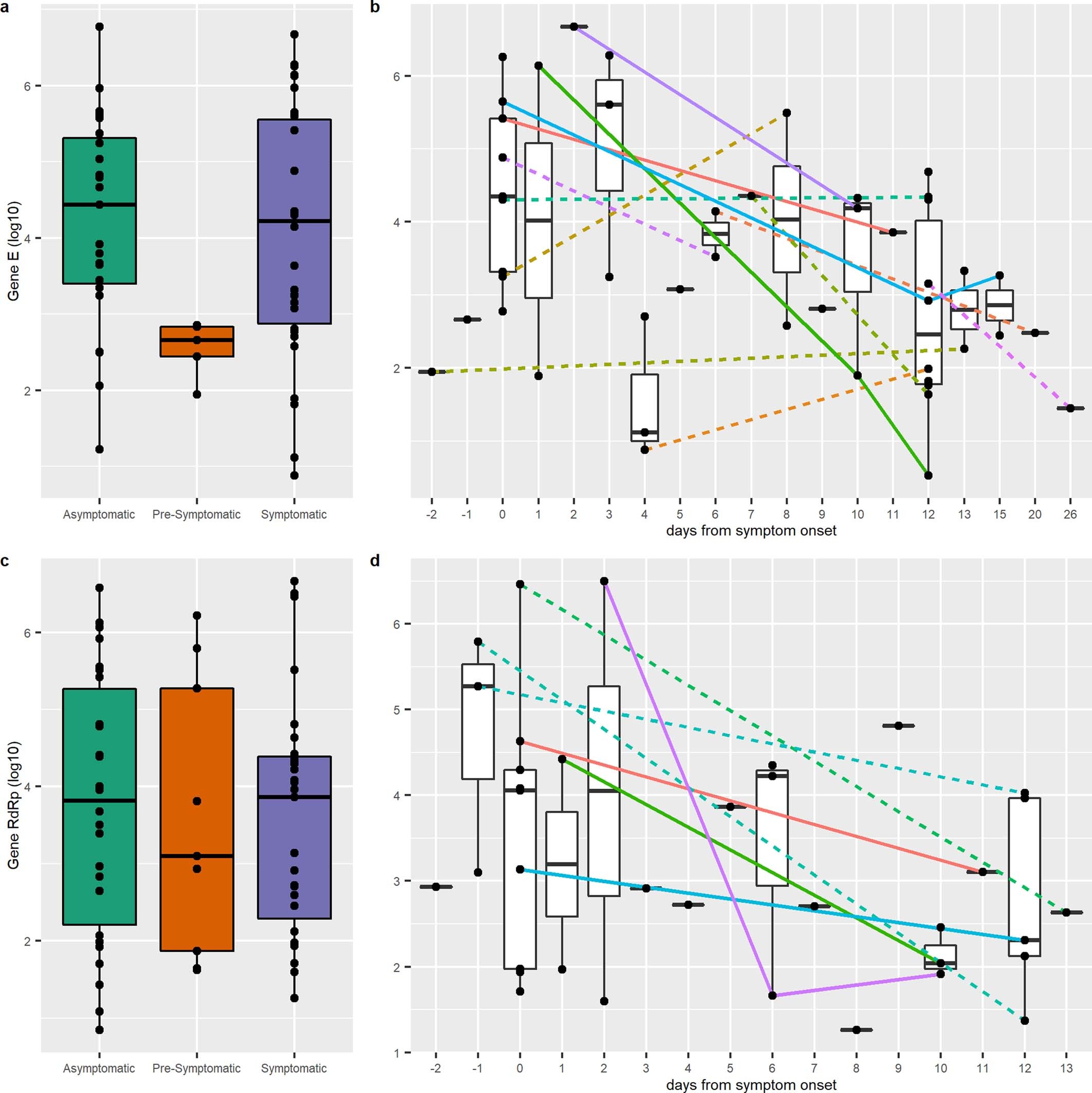
Extended Data Fig. 3: Viral load for asymptomatic, pre-symptomatic and symptomatic infections and viral load dynamics relative to the number of days from symptom onset.
From: Suppression of a SARS-CoV-2 outbreak in the Italian municipality of Vo’

a, The median (solid line), the interquartile range (that is, 25th to 75th percentiles (box)) and the range (that is, minimum to maximum (whiskers)) of gene E genome equivalent copies per ml (log10 scale, y axis) calculated from RT–PCR interpolated values (asymptomatic n = 23, pre-symptomatic n = 5 and symptomatic n = 30). The raw Ct data and the derived values of the genome equivalent copies are provided in the data set. b, The median (solid line), the interquartile range (that is, 25th to 75th percentiles (box)) and the range (that is, minimum to maximum (whiskers)) of gene E genome equivalent copies per ml (log10 scale, y axis) versus the number of days from symptom onset (days, x axis); n = 34 participants. The lines in colour join measurements from the same participant. The solid lines identify the four participants with sequential viral load measurements for both gene E and gene RdRp. c, The median (solid line), the interquartile range (that is, 25th to 75th percentiles (box)) and the range (that is, minimum to maximum (whiskers)) of RdRp genome equivalent copies per ml (log10 scale, y axis) calculated from RT–PCR interpolated values (asymptomatic n = 26, pre-symptomatic n = 9 and symptomatic n = 27). The raw Ct data and the derived values of genome equivalent copies are provided in the data set. d, The median (solid line), the interquartile range (that is, 25th to 75th percentiles (box)) and the range (that is, minimum to maximum (whiskers)) of RdRp genome equivalent copies per ml (log10 scale, y axis) versus the number of days from symptom onset (days, x axis); n = 28 participants. The lines in colour join measurements from the same participant. The solid lines identify the four participants with sequential viral load measurements for both gene E and gene RdRp.