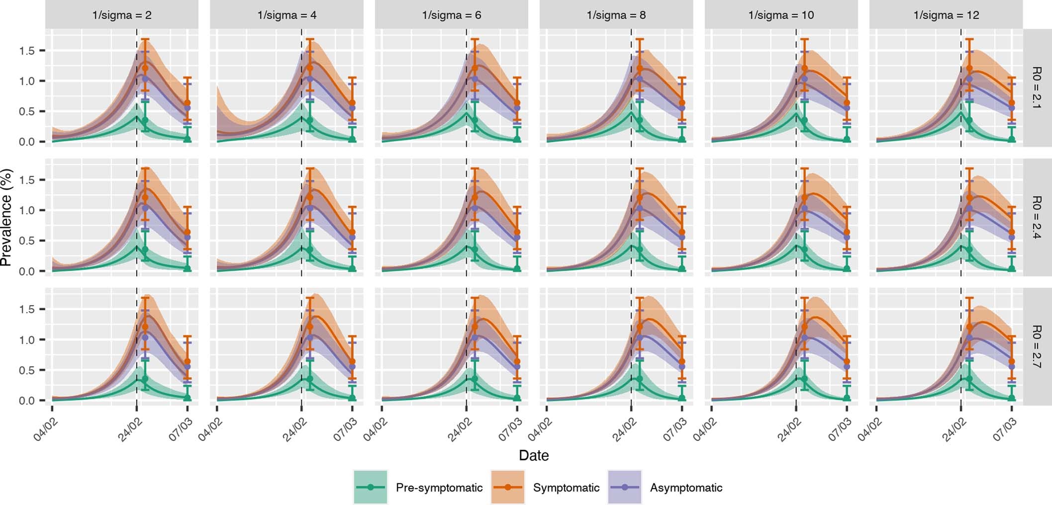
Extended Data Fig. 6: SARS-CoV-2 dynamics in Vo’ inferred from the fit of the dynamical model to the observed prevalence of symptomatic, pre-symptomatic and asymptomatic infections in the first and second surveys.
From: Suppression of a SARS-CoV-2 outbreak in the Italian municipality of Vo’

Each sub-panel represents the model fit using the specified values of \({R}_{0}^{1}\) (the reproduction number before the lockdown) and 1/σ (the average duration of positivity beyond the duration of the infectious period). The dashed vertical line represents the time that lockdown started. The points represent the observed prevalence data; the 95% CI is the exact binomial CI. The solid lines represent the mean and the shading represents the 95% credible interval obtained from 100 samples from the posterior distribution of the parameters.