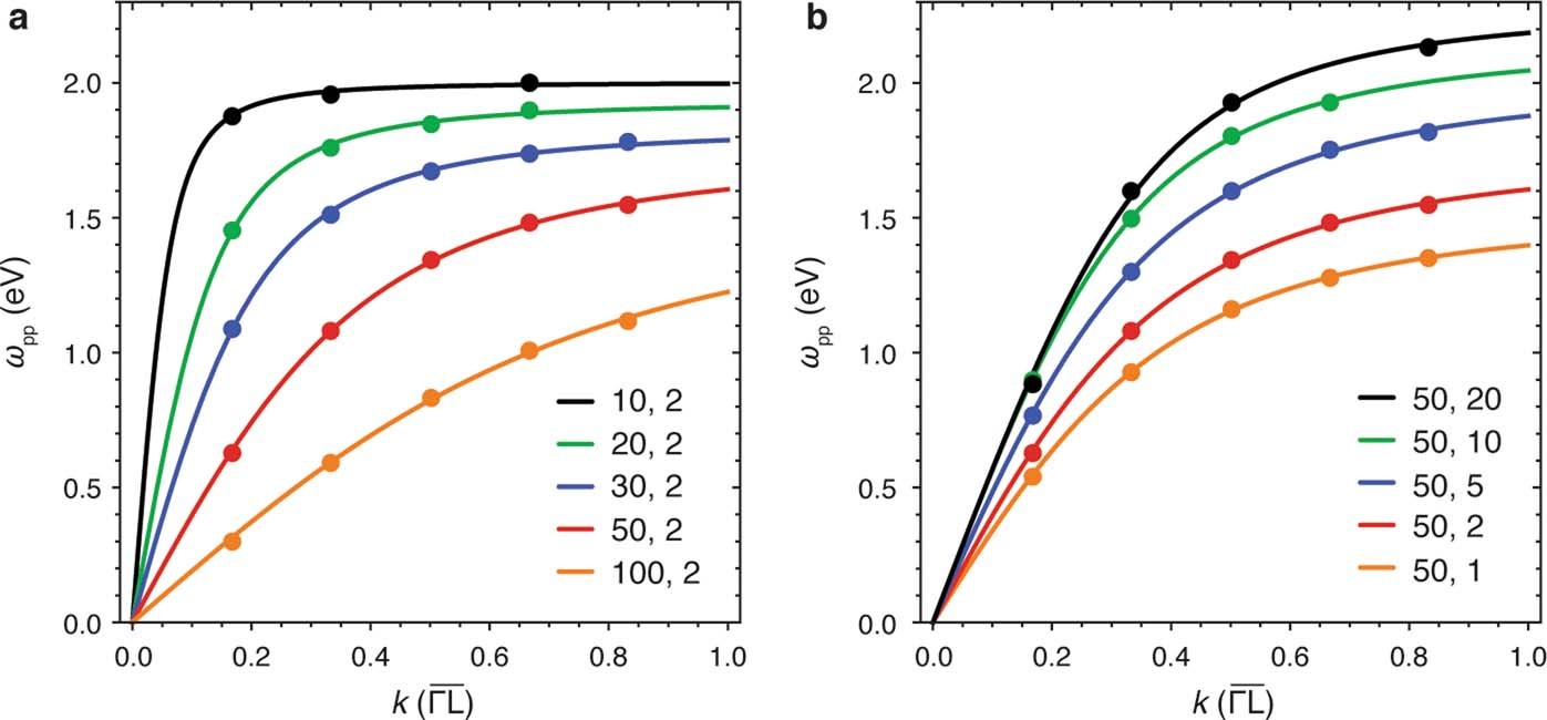
Extended Data Fig. 8: Simulated plasmon-polariton dispersions for gold nanoparticle fcc crystals with different diameters d and interparticle gap sizes a.
From: Deep strong light–matter coupling in plasmonic nanoparticle crystals

The labels show d and a in nanometres. a, Dispersions for different nanoparticle diameters and an interparticle gap size of 2 nm. b, Dispersions for different gap sizes and a nanoparticle diameter of 50 nm. The data points were obtained from simulated absorption spectra and the solid lines are fits with equation (1) using ΩR and \({\omega }_{{\rm{pl}}}^{{\rm{t}}}\) as fitting parameters.