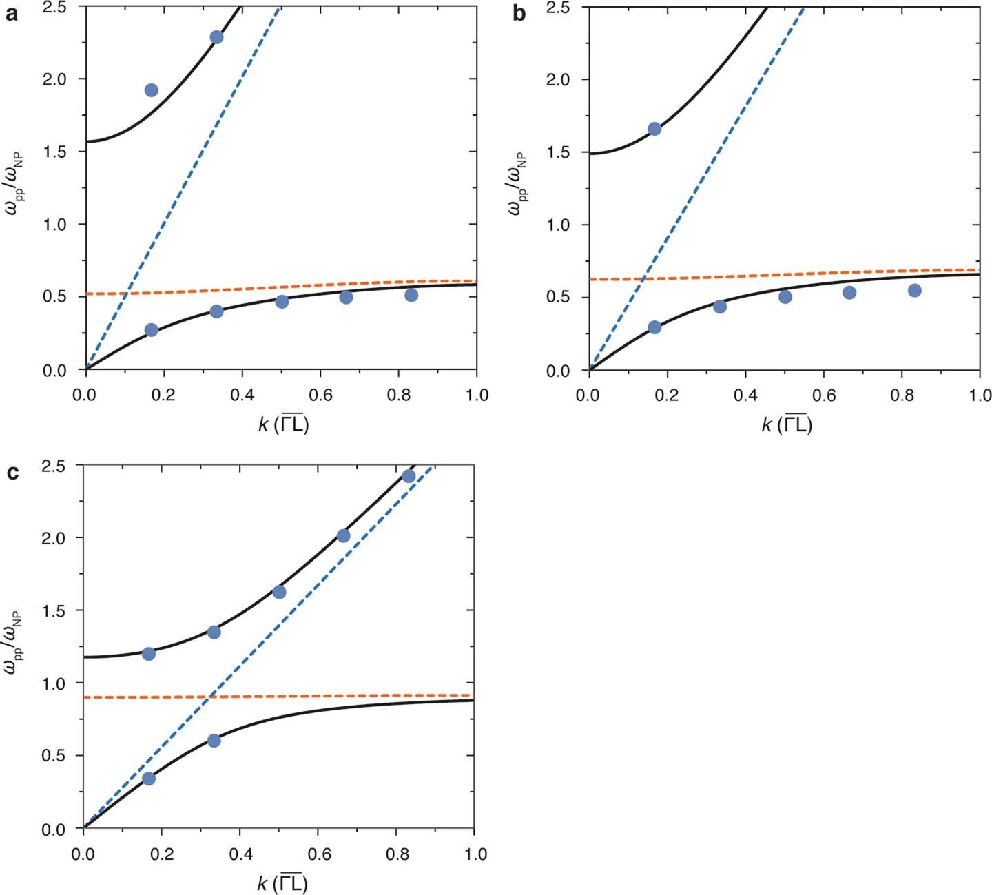
Extended Data Fig. 9: Comparison of polariton dispersions from the microscopic model (solid black lines) and FDTD simulations (data points).
From: Deep strong light–matter coupling in plasmonic nanoparticle crystals

a, The polariton dispersion shown in Fig. 1b with d = 30 nm, a = 2 nm and εm = 1.96. b, Parameters as in a, except for εm = 1. c, Polariton dispersion for d = 30 nm, a = 20 nm and εm = 1.96. We used the Drude model as the dielectric function of the metallic nanoparticles with ε ∞= 1, ħωp = 9.07 eV and ħγp = 40 meV.