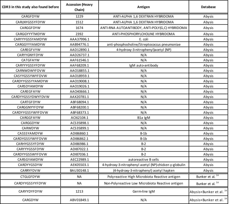
Extended Data Table 1 Comparison of B cell receptor CDR3 sequences assessed in this study with previously reported data
From: Mucosal or systemic microbiota exposures shape the B cell repertoire

From: Mucosal or systemic microbiota exposures shape the B cell repertoire
