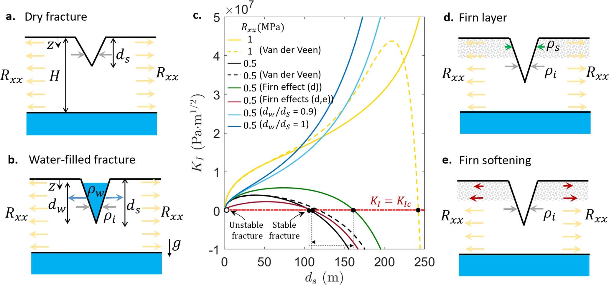
Extended Data Fig. 3: Stresses acting on a surface fracture and fracture stability.
From: Vulnerability of Antarctica’s ice shelves to meltwater-driven fracture

a, b, The effects of tensile resistive stress, hydrostatic stress of water and overburden stress of ice on opening or closing of a surface fracture in dry (a) and water-filled fractures (b). c, The stress intensity factor (KI) as a function of surface fracture depth (ds) (Supplementary equation (5)) computed with Rxx = [0.5, 1] MPa, H = 300 m, surface firn density ρs = 400 kg m−3 and C = 0.02 m−1 (see Supplementary equation (6); ref. 2). (The solution derived in this work is shown with a solid curves and that of Van der Veen (ref. 2) by dashed curves.) d, e, The additional impacts of a firn layer are due to reduced density (d) and reduced viscosity (e). Reduced overburden stress due to lower density firn compared with ice acts to deepen surface fractures (black dot on green curve in c). In contrast, the reduced tensile resistive stress due to the reduced firn viscosity reduces surface fracture depth. The net effects of firn, shown by the red curve in c, are secondary compared with the effects from tensile resistive and overburden stresses of ice. We therefore did not include the effect of firn in the main analysis.