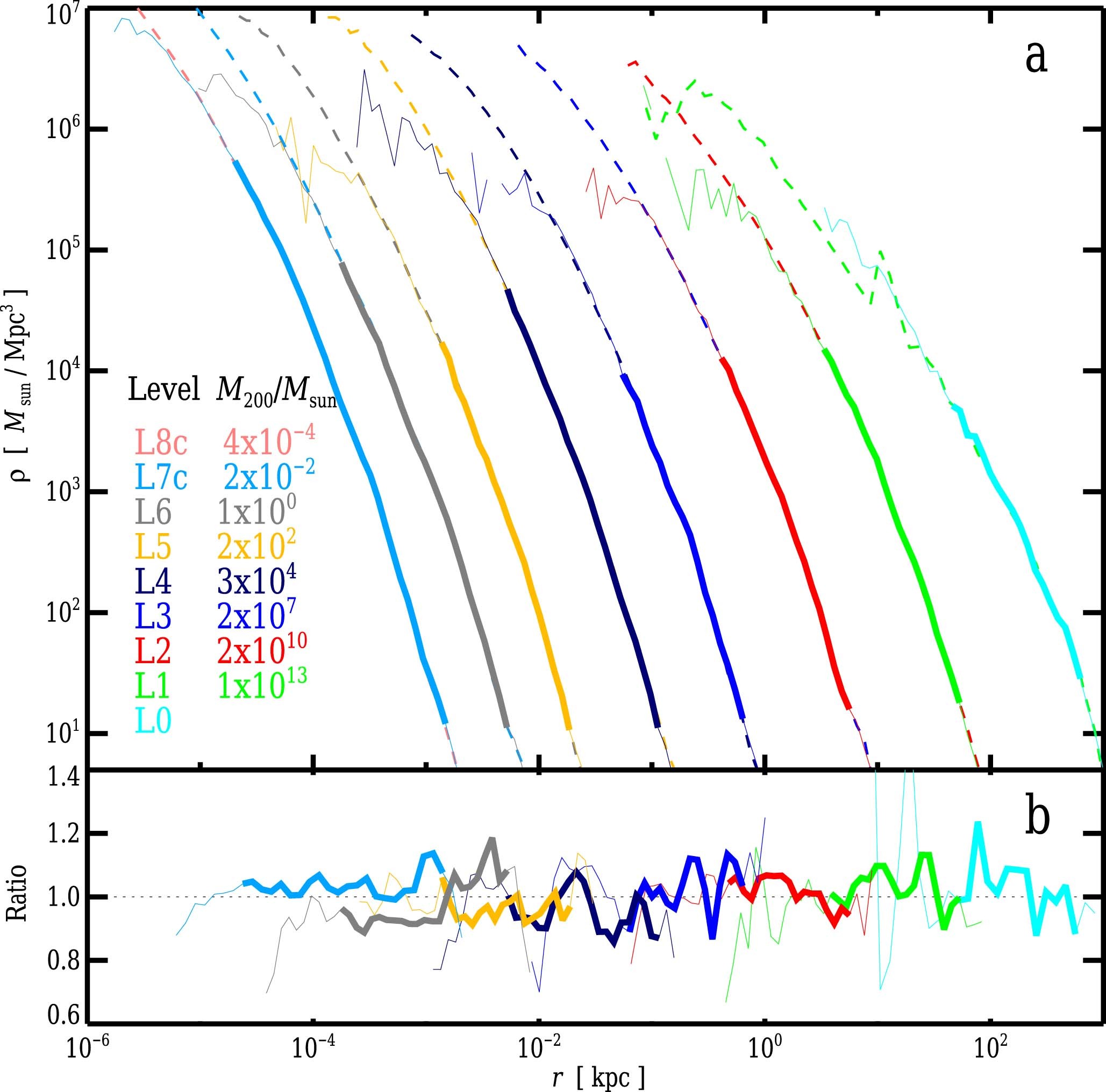
Extended Data Fig. 3: Comparison of the density profile of a massive halo at each level with that of its counterpart in the parent level.
From: Universal structure of dark matter haloes over a mass range of 20 orders of magnitude

a, The density profile of one of the most massive haloes in the high-resolution region of each zoom level is compared with that of the same halo at the parent level. Results from different levels are shown with different colours, as indicated by the legend, which also gives the masses of the haloes concerned. Higher-resolution profiles are shown as dashed curves, while those from the parent levels are shown as solid curves. The range between the convergence radius and r200 is plotted as a thick line in the lower-resolution case. b, The ratio of the density profiles of each pair in the upper panel. Again, results in the range between the convergence radius in the lower-resolution case and r200 are shown as thick lines. Note the excellent convergence between simulation pairs over this radial range, which typically differ in mass resolution by a factor of several hundred.