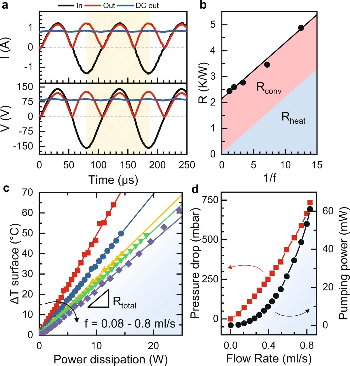
Extended Data Fig. 9: Operation of the a.c.–d.c. converter with embedded cooling.
From: Co-designing electronics with microfluidics for more sustainable cooling

a, Input and output waveforms of 150 V/1.2 A peak-to-peak rectification at 100 kHz. b, Surface temperature rise versus power dissipation for varying flow-rates. c, Thermal resistance versus inverse flow rate of the full converter. Pressure drop and pumping power versus flow rate. d, Pressure drop and pumping power versus flow rate.