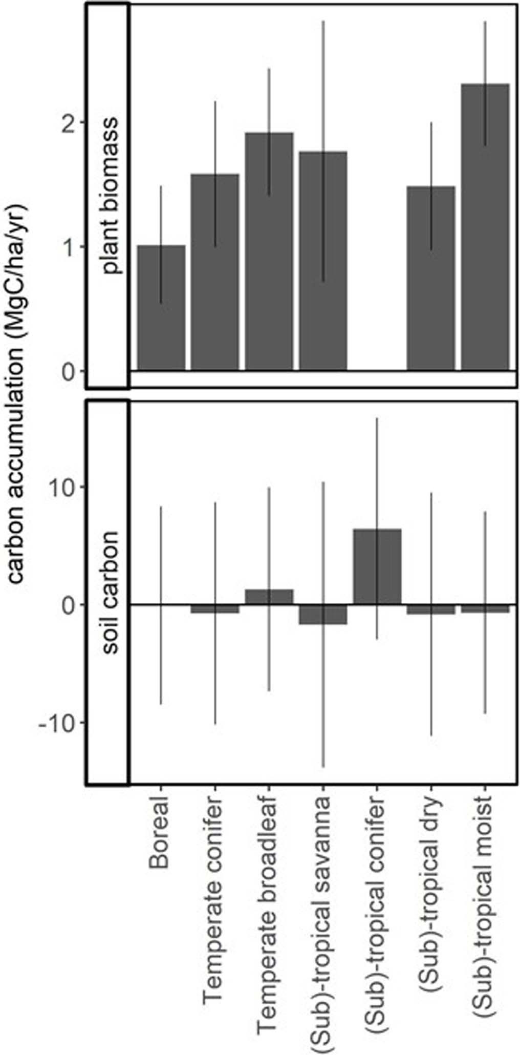
Extended Data Fig. 1: Variation in carbon accumulation among biomes.
From: Mapping carbon accumulation potential from global natural forest regrowth

Observed variation in total plant carbon accumulation rates and soil carbon accumulation rates (mean ± 95% confidence intervals) from the literature-derived dataset. We did not have plant biomass data for subtropical and tropical conifer forests.